德兴铜矿尾砂重金属在模拟降雨下的淋溶特征*

濮阳雪华1 邓汝英2 王春春1 黄 娟1 宋桂龙2

(1.深圳市铁汉生态环境股份有限公司,广东 深圳 518040; 2.北京林业大学 草坪研究所,北京 100083)

摘要:为了探讨模拟降雨条件下德兴铜矿尾砂重金属的淋出规律及释放特征,采用4种不同酸度的淋溶液模拟降雨进行为期60 d的动态淋溶试验。结果表明:尾砂淋出液pH值呈现先降低后小幅波动的变化趋势,且4种酸度淋溶液间的差异较小;电导率呈现先降低后趋于稳定的变化趋势,且pH=4处理组的淋出液电导率显著高于其他3种处理;各重金属的累积淋出量均呈现逐渐增加的变化趋势,且淋溶液酸度越低重金属累积淋出量越高,此外Cd和Hg的累积淋出率较高,长期酸雨可能导致潜在的环境污染。采用动力学方程拟合发现,双常数速率方程可以更好地描述Cu和Zn的释放过程,修正的Elovich方程则更适合描述Pb、Cd、As和Hg的释放过程,这表明模拟酸雨淋溶作用下尾砂重金属的释放是一个由多因素综合控制的过程。

关键词:铜矿;尾砂;重金属;模拟降雨;淋溶特征

0 引 言

矿产资源的开发利用是重金属污染的主要来源之一,尤其是露天金属矿山的开采[1]。重金属污染不仅给矿区周边的生物多样性造成极大影响,还可通过空气、水和土壤等介质传递引起人体暴露或经过食物链在人体富集,从而对人体健康产生危害[1-3]。江西德兴铜矿作为我国超大型露天开采铜矿区,长期开采产生的尾砂不仅占用了大量土地,而且由于尾砂颗粒细小,团粒体极少,并含有大量盐分和重金属等有毒有害物质,在雨水淋溶作用下,尤其是酸雨,其中的重金属极易发生地表径流和地下渗流,给周边地区的地表水、地下水及土壤环境带来极其严重的污染[4-7]

目前,在模拟酸雨条件下,众多学者对重金属在灰尘[8]、土壤[9]、铅锌尾矿[10]等环境介质中的淋溶释放特征开展了相关研究,但模拟降雨对德兴铜矿尾砂重金属淋出量的影响及其释放动力学方面的研究报道甚少。本研究以德兴铜矿4号尾砂库表层的新鲜尾砂为试验材料,采用模拟降雨进行动态淋溶试验,分析不同pH值淋溶液随着淋出液体积变化对尾砂重金属淋出量的影响,探讨尾砂重金属在模拟降雨作用下的淋溶累积释放特征,以期为尾砂重金属的污染防控和管理提供参考。

1 材料与方法

1.1 研究区概况

德兴市位于江西省东北部,属于亚热带湿润季风区,具有光照充足、气候温暖、四季分明、雨量充沛、昼夜温差大、无霜期较长等山区小气候特点。德兴矿产资源丰富,素有“中国铜都”的美誉,是我国重要的有色金属工业基地。德兴铜矿位于德兴市泗洲镇境内,为亚洲开发规模最大的露天铜矿,同时建有亚洲第一大尾砂坝——4号尾砂库,设计总库存量为8.35×108 m3,堆积高度为280 m,日产生尾砂约为10万t。

1.2 样品采集

试验尾砂样品采集于4号尾砂库表层的新鲜尾砂,将多个典型样点的尾砂样品经过充分混合后装入透气性良好的样品袋中,带回实验室后在无尘条件下自然风干并充分混合,装入样品袋用于相关指标测定及淋溶试验。

1.3 试验处理

通过对德兴近年降雨数据分析,其自然降雨的pH值通常为3.93~6.81。因此,试验淋溶环境的温度控制在20~30 ℃,淋溶原液的pH值选择为4、5、6、7,对应的4个处理组分别标记为pH=4、pH=5、pH=6和pH=7。淋溶柱长为90 cm,直径为8 cm,先向柱底部装入5 cm厚的石英砂,覆盖一层纤维滤纸,然后加入自然风干后的尾砂样品2.0 kg,淋溶前先用蒸馏水完全湿润淋溶柱。淋溶时间持续60 d,淋溶速度为150 mL/d(淋溶原液),淋溶期间每天测定淋出液的pH值与电导率,分别在第2,4,8,13,20,30,45,60天测定淋出液的重金属含量。

1.4 分析方法

尾砂pH值采用固液比1∶2.5混合静置后使用pH计测定;淋出液pH值和电导率分别采用pH计和电导率仪测定;尾砂采用混合酸(HCl-HNO3-HF-HClO4)微波消解,Cu、Zn、Pb、Cd含量采用电感耦合等离子体原子发射光谱法(ICP-AES)测定,As、Hg含量采用原子荧光光谱法(AFS)测定。试验设置3个平行样,釆用Excel 2013和SPSS 18.0进行数据统计分析。

2 结果与分析

2.1 尾砂重金属含量分析

尾砂重金属含量分析结果如表1所示,该铜矿尾砂pH值为8.2,重金属Zn、Pb、Cd、As及Hg含量均远低于国家GB 15618—2018《土壤环境质量 农用地土壤污染风险管控标准》,且Zn、Pb、Cd及Hg含量也低于江西土壤环境背景值,但As含量略高于江西土壤环境背景值。尾砂Cu含量为696.22 mg/kg,是GB 15618—2008的6.96倍,江西土壤环境背景值的33.47倍,这表明Cu是该尾砂的主要污染源,而其他几种重金属污染程度并不明显。

表1 尾砂库尾砂重金属含量
Table 1 The content of heavy metals in tailings mg/kg

CuZnPbCdAsHg尾砂样696.2237.8810.620.09511.820.055GB 15618—2018[11]100.00300.00170.000.60025.003.400背景值[12]20.8069.0032.100.10010.400.080

2.2 尾砂淋出液pH值变化特征

图1所示为尾砂淋出液pH值随着淋出液体积的变化规律。可知:在不同pH值淋溶液的作用下,尾砂淋出液的pH值随着淋出液体积的增加均呈现先降低后小幅波动的趋势。淋出液的初始pH值均>8.4且不同处理间差异较大,随着淋溶时间的持续,淋出液的pH值逐渐降低且不同处理间差异较小。在淋溶持续13 d(淋出液体积达到1950 mL)后,淋出液的pH值基本保持在7.9~8.2。表明该尾砂在自然降雨条件下基本不会发生较强的酸化现象,这可能与该尾砂的主要成分为方解石和斜长石,易风化且偏碱性有关,其表面的碱性矿物遇水使得淋出液的pH值呈现弱碱性。

—pH=4; —pH=5; —pH=6; —pH=7。
图1 尾砂淋出液pH值随淋出液体积的变化规律
Fig.1 The change of pH value in leaching solution from tailings with leaching solution volume

2.3 尾砂淋出液电导率变化特征

图2所示为尾砂淋出液电导率随着淋出液体积的变化规律。可知:在不同pH值淋溶液的作用下尾砂淋出液的电导率随着淋出液体积的增加均呈现先降低后趋于稳定的趋势。此外,淋溶液的pH值越低,尾砂淋出液的电导率则越高,当淋溶液pH=4时,其淋出液的电导率显著高于其他3种处理。这表明酸雨更易使尾砂中的盐分和重金属离子等发生淋溶,进而产生潜在的环境污染。总体上看,尾砂淋出液的电导率在淋溶初始阶段下降较快,随后其下降幅度逐渐变缓。这可能是由于尾砂经过前期的氧化,其表层盐分和重金属离子等会迅速被淋溶析出,而后期随着反应的进行,淋溶所产生的离子也相对较少。

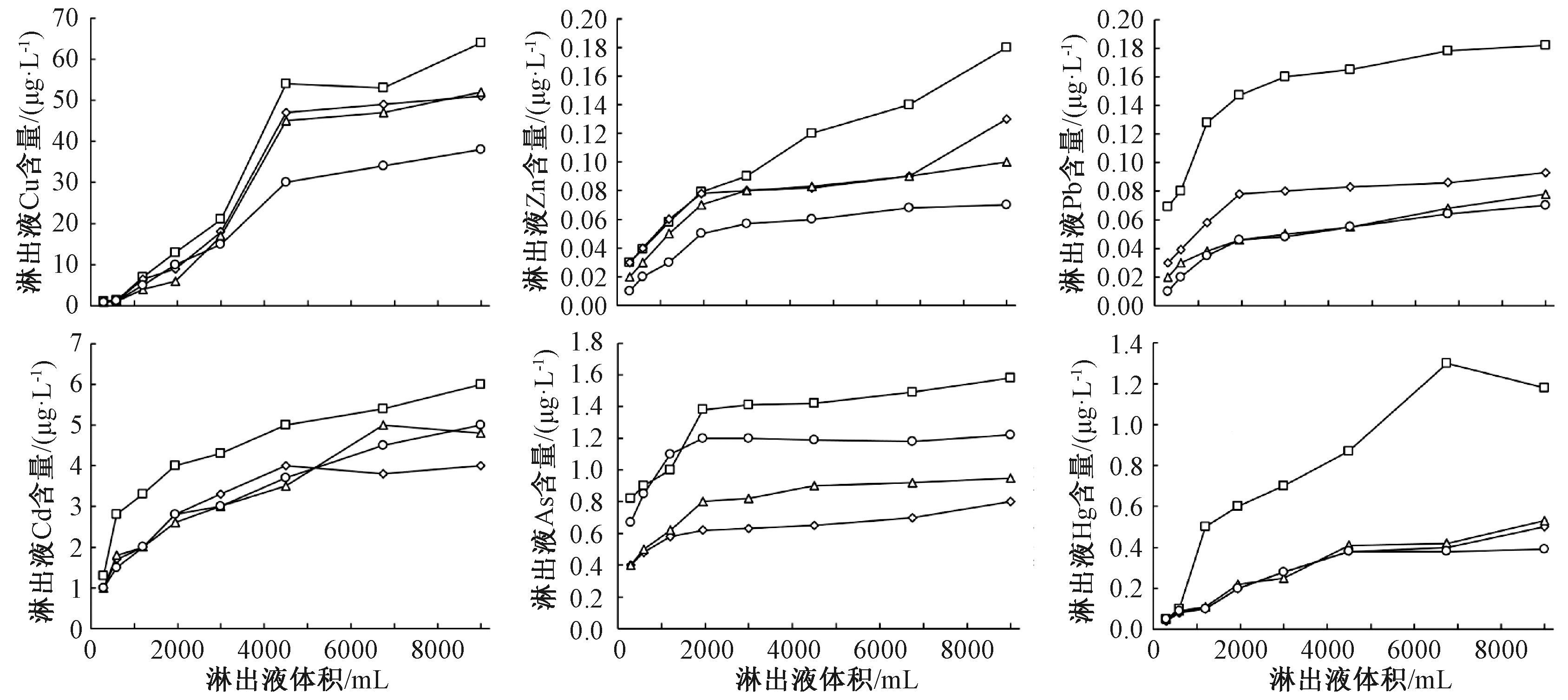
2.4 尾砂淋出液重金属含量变化特征

图3所示为尾砂淋出液重金属含量随淋出液体积的变化规律。可知:在不同pH值淋溶液的作用下,尾砂淋出液的重金属含量随淋出液体积的增加均呈现逐渐上升的变化趋势,但不同重金属的淋出速率和淋出率存在较大差异,这可能与不同重金属所结合的矿物种类及结合方式的差异有关。当pH=4时,其淋出液的重金属含量显著高于其他3种处理。在淋溶液的pH=4时,当淋溶结束后,不同重金属的累积淋出量依次为Cu(64.04 μg/L)>Cd(6.01 μg/L)>As(1.58 μg/L)>Hg(1.18 μg/L)>Pb(0.18 μg/L)>Zn(0.18 μg/L),而不同重金属的累积淋出率则依次为Cd(56.94%)>Hg(19.31%)>As(0.12%)>Cu(0.08%)>Pb(0.015%)>Zn(0.004%)。根据各重金属元素的累积淋出率可知:该尾砂中作为特征重金属的Cu在自然降雨条件下累积淋出率较低,且累积淋出量低于国家GB 3838—2002《地表水环境质量标准》,基本不会对周围环境产生淋溶污染,而Cd和Hg的累积淋出率明显高于其他元素,长期酸雨条件下可能会产生潜在环境污染,应引起高度重视。

—pH=4; —pH=5; —pH=6; —pH=7。
图2 尾砂淋出液电导率随淋出液体积的变化规律
Fig.2 The change of conductivity in leaching solution from tailings with leaching solution volume

—pH=4; —pH=5; —pH=6; —pH=7。
图3 尾砂淋出液重金属含量随淋出液体积的变化规律
Fig.3 The change of heavy metals contents in leaching solution from tailings with leaching solution volume

2.5 尾砂淋出液重金属淋溶累积释放模型

酸性条件下金属释放常见数学模型主要包括一级动力学方程、双常数速率方程、抛物线方程和修正Elovich方程等。表2所示为pH=4时尾砂淋出液重金属释放动力学拟合结果。通过对尾砂重金属淋出的累积释放进行拟合,其相关系数显著性检验表明,除一级动力学方程外,其余3种方程均可较好地描述尾砂重金属淋出的动力学过程,但不同重金属元素的最适方程存在一定差异,其中双常数速率方程可以更好地描述Cu和Zn的释放过程,而修正Elovich方程更适合描述Pb、Cd、As和Hg的释放过程。这表明酸雨淋溶作用下尾砂中重金属的释放过程不是简单的一级反应,而是一个由反应速率、扩散因子等多因素综合控制的过程。

表2 尾砂淋出液重金属释放动力学拟合结果(pH=4)
Table 2 Dynamic fitting results of heavy metals release in leaching solution of tailings (pH=4)

元素一级动力学方程y=ax+b双常数速率方程y=ax^b抛物线方程y=a·(x)^(0.5)+b修正Elovich方程y=a·ln(x)+babR2abR2abR2abR2Cu0.008-0.3110.9114E-041.3430.9610.910-20.8970.92620.019-126.11 0.835Zn2E-050.0360.9750.0010.5240.9940.002-0.0060.9900.042-0.2270.914Pb1E-050.0990.6930.0130.3000.9180.0010.0630.8450.036-0.1330.958Cd4E-042.5080.8170.1840.3920.9040.0531.2180.9261.274-5.7180.984As8E-050.9780.7150.2520.2060.9190.0100.7330.8470.239-0.5720.923Hg1E-040.2050.8543E-040.9510.9040.016-0.1750.9380.371-2.1730.943

3 讨 论

尾砂淋出液pH值高低可在一定程度上反映尾砂对酸碱度变化缓冲能力的大小[13]。尾砂淋溶初期淋出液pH值快速下降可能是由于尾砂中可交换盐基与外源离子间的快速交换反应所致,而淋溶一段时间后,4种淋出液pH值均较为稳定且差异较小,表明尾砂本身具有较强的缓冲能力。本研究淋溶初期淋出液pH值逐渐降低的变化趋势与王兰等[14]对铅锌矿渣的淋溶结果一致,但与袁丽等[10]以及张斯宇等[13]的研究结果存在一定差异,这可能与该铜矿尾砂的组成成分以及pH本底值较高等因素有关。

尾砂淋出液电导率的高低反映了淋出液中总电解质活度的大小[15]。尾砂淋溶前期淋出液电导率相对较高,但快速下降的变化趋势是由于尾砂表面吸附的盐基等离子被淋溶释放是一个快速反应的交换过程,而后期淋出液的电导率相对较小且变化缓慢的变化趋势,则是由于尾砂表面的盐基等离子越来越少,H+与尾砂中的重金属离子交换过程相对缓慢所致,这与张斯宇等[13]、王兰等[14]及商正松等[16]的研究结果基本一致。

本研究中淋溶液pH值越低,尾砂淋出液电导率和重金属含量则越高,这一结果表明酸度的提高可以显著增加尾砂中Cu、Zn、Pb、Cd等离子的浸出,这与前人对尾矿重金属淋溶的研究结果基本一致[10,17]。此外,不同重金属累积淋出量和累积淋出率的差异可能与元素含量、元素形态、固液作用形式等因素有关。胡恭任等[8]、袁丽等[10]、苏光明等[18]以及印学松[19]的研究结果也同样证实了这一观点。

尾砂动态淋溶试验是一个间歇复氧的过程,其重金属释放是气液固三相反应,属于有固态产生的液固缩合反应[20]。一级动力学方程适合描述扩散机制较单一的过程;双常数速率方程适合反应过程较复杂的动力学过程,可较好地描述能量分布不均匀过程;抛物线方程适合描述由多个扩散机制控制的过程;修正Elovich方程适合描述一系列反应机制的过程,主要适用于反应过程中活化能变化较大的过程[18]。由此可见,Cu和Zn在尾砂中的淋溶和释放过程可能更多表现出能量的不均匀性,而Pb、Cd、As和Hg的淋溶和释放过程则属于活化能变化较大的复杂反应过程。本研究结果表明:尾砂重金属的淋溶和释放过程是一个由多因素综合控制的过程,这与胡恭任等[8]、张斯宇等[13]、苏光明等[18]及郑顺安等[21]关于灰尘和土壤重金属释放过程的研究结果相一致。

4 结 论

德兴铜矿尾砂中Cu是主要的潜在污染源,Zn、Pb、Cd、As和Hg含量均符合GB 15618—1995《土壤环境质量标准》。模拟降雨作用下,尾砂淋出液pH值呈现快速下降和小幅波动2个阶段且不同处理间差异较小,电导率则呈现快速下降和缓慢下降至平稳2个阶段,各重金属的累积淋出量呈现先快速后缓慢增加的趋势,并且pH=4的处理的淋出液电导率和重金属含量显著高于其他3种处理。此外,尾砂Cd和Hg的累积淋出率较高,长期酸雨可能导致潜在的环境污染。尾砂重金属淋溶累积释放拟合结果表明:模拟酸雨淋溶作用下尾砂重金属的释放过程不是简单的一级反应,而是一个由多因素综合控制的过程。

参考文献

[1] 付卓, 肖如林, 申文明, 等. 典型矿区土壤重金属污染对植被影响遥感监测分析——以江西省德兴铜矿为例[J]. 环境与可持续发展, 2016(6): 66-68.

[2] 雷鸣, 曾敏, 王利红, 等. 湖南市场和污染区稻米中As、Pb、Cd污染及其健康风险评价[J]. 环境科学学报, 2010, 30(11): 2314-2320.

[3] 于云江, 杨林, 李良忠, 等. 兰州市大气PM10中重金属和多环芳烃的健康风险评价[J]. 环境科学学报, 2013, 33(11): 2920-2927.

[4] 初娜, 赵元艺, 张光弟, 等. 江西省德兴铜矿矿区重金属元素的环境效应[J]. 地质学报, 2008, 82(4): 562-576.

[5] 薛强. 江西德兴铜矿重金属环境质量演化与预警模型研究[D]. 成都: 成都理工大学, 2013.

[6] 柳建平, 赵元艺, 薛强, 等. 江西德兴铜矿大坞河土壤重金属累积特征与成因[J]. 地质通报, 2014, 33(8): 1154-1166.

[7] 常玉虎, 赵元艺, 曹冲, 等. 德兴铜矿区主要流域内环境介质中重金属含量特征与健康风险评价[J]. 地质学报, 2015, 89(5): 889-908.

[8] 胡恭任, 于瑞莲, 刘海婷, 等. 模拟酸雨对街道灰尘重金属淋溶的累积释放特征与释放模型[J]. 环境化学, 2013, 32(5): 886-892.

[9] Li J H, Jia C J, Lu Y, et al. Multivariate analysis of heavy metal leaching from urban soils following simulated acid rain [J]. Microchemical Journal, 2015, 122: 89-95.

[10] 袁丽, 刘阳生. 铅锌尾矿中重金属在模拟酸雨淋溶下的浸出规律[J]. 环境工程, 2012, 30(增刊): 586-590, 292.

[11] 生态环境部. GB 15618—2018 土壤环境质量 农用地土壤污染风险管控标准[S]. 北京: 中国标准出版社, 2018.

[12] 赵杰, 罗志军, 赵越, 等. 环鄱阳湖区农田土壤重金属空间分布及污染评价[J]. 环境科学学报, 2018, 38(6): 2475-2485.

[13] 张斯宇, 何绪文, 李焱, 等. 铅锌矿区土壤重金属的淋溶试验研究[J]. 矿业科学学报, 2018, 3(4): 406-416.

[14] 王兰, 刘方, 王俭, 等. 铅锌矿渣酸性淋溶下重金属释放特征及其对植物幼苗生长的影响[J]. 生态学杂志, 2010, 29(6): 1121-1126.

[15] 吴云, 杨剑虹, 慈恩. 模拟雨水连续淋洗下土壤化学性状动态变化特征的研究[J]. 土壤通报, 2005, 36(2): 206-210.

[16] 商正松, 刘方, 刘荣, 等. 酸性淋溶下湘西钒矿区废渣及土壤重金属的释放特征[J]. 环保科技, 2011, 17(2): 10-14.

[17] Guo Y G, Huang P, Zhang W G, et al. Leaching of heavy metals from Dexing copper mine tailings pond [J]. Transactions of Nonferrous Metals Society of China, 2013, 23(10): 3068-3075.

[18] 苏光明, 胡恭任, 毛平平, 等. 模拟酸雨对泉州市交通区表层土壤重金属淋溶的累积释放特征[J]. 地球与环境, 2013, 41(5): 512-517.

[19] 印学松. 煤矸石中重金属淋溶的释放规律研究[J]. 轻工科技, 2014, 30(7): 104-105.

[20] Souza A D, Pina P S, Lima E V O, et al. Kinetics of sulphuric acid leaching of a zinc silicate calcine [J]. Hydrometallurgy, 2007, 89: 337-345.

[21] 郑顺安, 郑向群, 张铁亮, 等. 污染紫色土重金属的淋溶特征及释放动力学研究[J]. 水土保持学报, 2011, 25(4): 253-256.

LEACHING CHARACTERISTICS OF HEAVY METALS FROM TAILINGS UNDER SIMULATED RAINFALL IN DEXING COPPER MINE

PU-YANG Xue-hua1, DENG Ru-ying2, WANG Chun-chun1, HUANG Juan1, SONG Gui-long2

(1.Shenzhen Techand Ecology & Environment Co., Ltd, Shenzhen 518040, China;2.Institute of Turfgrass Science, Beijing Forestry University, Beijing 100083, China)

Abstract: To investigate the leaching rule and release characteristics of heavy metals from tailings under simulated rainfall in Dexing Copper Mine, 4 kinds of leaching solutions with different acidity were used to simulate rainfall for a dynamic leaching test lasting 60 d. The results showed that the pH values of leaching solutions of tailings decreased at first and then fluctuated slowly, and slight difference was found among 4 kinds of leaching solutions. The electrical conductivity tended to decrease at first and then to be stable, and the electric conductivity of the leaching solution treated under the condition of pH=4 was significantly higher than that of other three treatments. The cumulative leaching amount of each heavy metal showed a gradually increasing trend, and the lower the acidity of the leaching solution was, the higher cumulative leaching amount of heavy metals becomes. Meanwhile, the cumulative leaching rate of Cd and Hg was higher so that long-term acid rain might lead to potential environmental pollution. It was founded by the fitting of dynamic equation that the release processes of Cu and Zn could be better described by using a double constant rate equation, and the modified Elovich equation was more suitable for describing the release process of Pb, Cd, As and Hg. These indicated that the release of heavy metals from tailings under the leaching function of simulated acid rain was a process controlled by multiple factors.

Keywords: copper mine; tailings; heavy metals; simulated rainfall; leaching characteristics

DOI:10.13205/j.hjgc.201905012

*国家重点研发计划“西北干旱荒漠区煤炭基地生态安全保障技术”(2017YFC0504400),“矿区生态修复与生态安全保障技术集成示范研究”(2017YFC0504406)。

收稿日期:2018-09-20

第一作者:濮阳雪华(1987-),男,博士,工程师,主要研究方向为边坡矿山生态修复与治理。puyangxuehua@sztechand.com.cn

通信作者:宋桂龙(1976-),男,博士,副教授,主要研究方向为裸露边坡植被恢复理论与技术。syihan@163.com