农业固废碳源对三峡库区消落带土壤脱氮性能的强化作用*

王超林 程伯夷 华玉妹

(华中农业大学 资源与环境学院,武汉 430070)

摘要:三峡库区消落带土壤的脱氮能力与库区水体质量有密切关系,对其加以强化有助于提高消落带的径流氮素截留量,而适宜的碳源可促进生物脱氮。以花生壳、刨花、稻草秸秆、玉米秸秆和小麦秸秆5种农业固废作为反硝化碳源,研究了添加碳源后消落带土壤的脱氮效果及释碳情况。结果表明:m(固废碳源)∶m(土壤)为1∶4和1∶10下,5种碳源均强化了土壤的脱氮效果。m(固废碳源)∶m(土壤)为1∶10去除效果更好,添加5种碳源后25 d时土壤对去除率均达到85%以上。2组碳源比例下所释放的总有机碳(TOC)浓度在10 d时均达到较高水平,1∶10碳源比例的TOC含量在实验后期出现了下降,添加秸秆类碳源材料的TOC含量较高,花生壳和刨花TOC含量较低且能满足有效去除的碳源需要。综合考虑脱氮效果与安全性,认为花生壳和刨花为较适宜的农业固废碳源。

关键词:反硝化;固体碳源;释碳;硝酸盐

0 引 言

三峡库区消落带近70%为原耕地,消落带形成之前,高强度的氮肥施用造成硝酸盐的大量蓄积[1],在三峡库区蓄水之后易随降雨径流进入库区水体,影响水体质量。因此,对库区土壤的脱氮能力进行强化,有助于削减输入三峡水体的径流氮素负荷。在利用生物反硝化去除硝酸盐的过程中,碳源是异养反硝化反应的核心基质,通过外部添加碳源的方式可提高反硝化效率。现有的反硝化外加碳源方式主要有2种:一是以投加甲醇等液态有机物为主[2-3];二是以廉价易得的固体有机物为主,如污泥、农作物、农业废弃物[4-9]等。其中,传统污水处理中外加液态碳源虽然易被反硝化细菌所利用,但若作为碳源来强化土壤的脱氮能力,则存在运输不便、易于流失、成本较高等问题。而固体有机碳源,特别是农业固体废弃物,不仅具有价格低廉、来源广泛、可控性好等特点[7,9],还具有缓释碳的优点,可优先考虑用于强化三峡库区土壤的脱氮能力。

本研究以三峡消落带土壤作为研究对象,以花生壳、刨花、稻草秸秆、玉米秸秆和小麦秸秆5种农业固废作为反硝化固体碳源,通过对添加不同碳源土壤对模拟径流的脱氮效果积累和释碳量等方面的研究,比较分析土壤在反硝化过程中的脱氮性能、氮污染物积累及固废碳源的释碳特性,以期筛选适宜的农业固废碳源以强化三峡消落带土壤脱氮能力。

1 实验部分

1.1 三峡库区消落带土壤采集与农业固废碳源预处理

供试土壤采自重庆市忠县大面村段,于水库水位175 m线处用保湿袋装取土壤运回实验室。选取花生壳、刨花、稻草秸秆、玉米秸秆和小麦秸秆5种农业废弃物作为固态碳源材料,用超纯水洗净,自然晾干后用粉碎机碾碎并过30目筛。

硝酸盐溶液用KNO3配成的溶液,并参考试验地降雨组成,加入相应化合物作为替代成分,其中含(NH4)2SO4 1.745 mg/L,CaSO4 7.575 mg/L,MgSO4 1.63 mg/L和KCl 0.18 mg/L,另加入KH2PO4和K2HPO4作为反硝化菌生长所需的磷源,使ρ(N)∶ρ(P)=1∶10,同时也作为pH缓冲剂,维持溶液pH在7.0~7.5内。

1.2 添加农业固废碳源的土壤反硝化强化实验

固废碳源材料在使用前装于玻璃瓶中,放入灭菌锅中灭菌30 min。实验分为A组、B组和对照组,A组m(碳源)∶m(土壤)=1∶4,分别称取灭菌后的粉末状花生壳、刨花、稻草秸秆、玉米秸秆、小麦秸秆各5.0 g于100 mL小白瓶中,之后加入20.0 g三峡库区消落带20~40 cm深处湿土壤(含水率为13.86%,干土壤量为17.2280 g),另加入1~3 mm粒径砾石5 g,最后注入12 mg/L硝酸盐氮模拟径流溶液90 mL,之后用保鲜膜密封、加盖,在室温条件下培养;B组m(碳源)∶m(土壤)=1∶10,分别称取粉末状刨花、花生壳、稻草秸秆、玉米秸秆、小麦秸秆各2 g于100 mL小白瓶中,其余操作与A组处理相同。对照组不加入碳源,其余添加物均同实验组。3组实验每组均设置5个平行。在培养后第5,10,15,20,25天进行取样,上清液过0.45 μm滤膜后,测定其等指标。

1.3 分析方法

适宜的碳源可促进消落带土壤反硝化菌的脱氮性能,固废碳源的选择要基于其稳定的释碳能力,同时避免有机碳过高而导致二次污染。TOC测定:总有机碳分析仪,Vario TOC(德国ELEMENTAR)。TN测定[11]:碱性过硫酸钾消解紫外分光光度法,752型紫外可见分光光度计(上海光谱仪器有限公司)。测定[11]:酚二磺酸分光光度法(在波长410 nm下测定测定[11]:N-(1-萘基)-乙二胺光度法(在波长540 nm下测定)。测定[11]:纳氏试剂分光光度法(在波长420 nm下测定)。

2 结果与讨论

2.1 脱氮性能分析

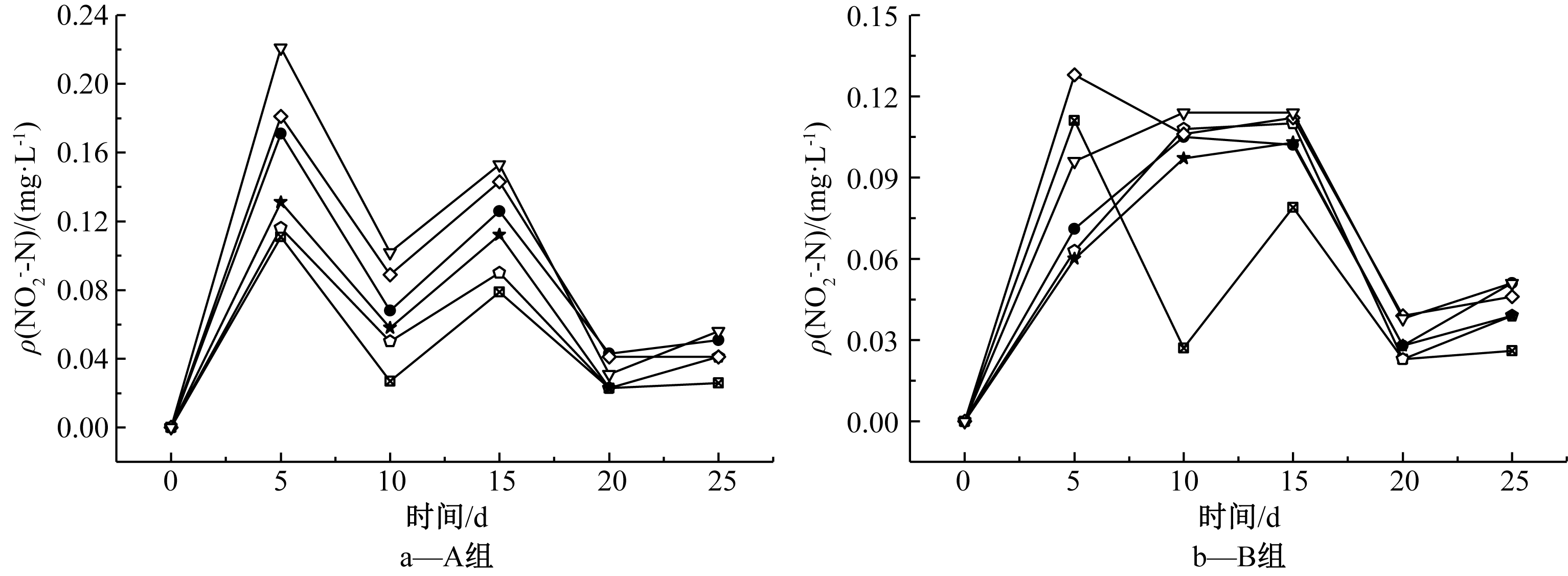
不同碳源添加条件下土壤中的去除情况见图1。可知:在实验初期,添加5种碳源材料后土壤对的去除量在前5 d内迅速增加,之后在小幅度范围内波动;对照组浓度在前5 d内同样呈快速下降,并于第5天左右降至最低,但此后则一直呈上升趋势。这可能是由于对照组土壤对虽具有一定的吸附能力,但并不能转化溶液中的硝酸盐,且土壤胶体携带阴离子,在土壤中以氧化态存在,同为阴离子,在土壤中会有较大移动性[12],因此土壤所吸附的部分在后期又释放出来。和对照组不同的是,实验组中浓度随着反应时间的增加而呈明显下降趋势,且浓度下降后仍能保持长期稳定,这说明实验组中碳源的添加有助于土壤去除水中的

注:A为1∶4实验组;B为1∶10实验组,下同。
—对照组;—花生壳; —刨花; —稻草秸秆;
—玉米秸秆; —小麦秸秆。
图1 不同碳源下土壤对的去除
Fig.1 Variation of nitrate removal by soil with different
carbon sources added

对于同种碳源,1∶4的碳源添加比例下的去除率较1∶10的更低。且A组中浓度的变化幅度相对较大,B组中浓度在5 d后基本趋于稳定,这可能是由于在本实验体系中,添加1∶4的碳源相对过量,因此其本身会释放一定量的两实验组后期均出现的略微上升,这可能是由于氨氧化细菌与厌氧异养细菌共存,将氨氧化成硝酸盐[14]

由图1a可看出:除小麦秸秆外,其余4种碳源实验组在25 d时,去除率均达到80%以上;小麦秸秆组浓度在后期出现较明显的上升,去除率降至70%以下。由图1b可看出:各碳源材料实验组中浓度经初期的快速下降后,均稳定在较低浓度水平,其中,添加花生壳实验组反硝化效果相对较佳,去除率基本维持在90%左右。表1为各碳源材料在25 d时的去除率,尽管B组碳源∶土壤为1∶10,但该碳源量已经能够满足反硝化菌生长对碳源的需求,去除效果优于A组(碳源∶土壤=1∶4)。

表1 添加不同碳源下土壤在25 d时去除率
Table 1 Nitrogen removal efficiency by soil with
different carbon sources added on the 25th day

碳源材料花生壳刨花稻草秸秆玉米秸秆小麦秸秆去除率/%86.4887.0069.1776.7971.0986.9086.5885.0886.0585.19

的变化

图2为反硝化过程中亚硝酸盐的积累情况。A组和对照组的浓度变化趋势类似(图2a),呈现波动变化,且波动幅度逐渐减小。由图2b可知:B组中浓度在实验前中期稳步上升,至后期迅速下降,且表现出逐渐稳定的趋势。这可能是由于作为反硝化过程的中间产物,在实验初期浓度处于较高水平,抑制了亚硝酸还原酶的活性,导致亚硝酸盐浓度上升,之后随着反硝化反应的进行,浓度大幅度降低,亚硝酸还原酶活性得到恢复,使得浓度呈现下降[15]

由于A组浓度变化较大,因此在实验前期A组会出现浓度稍高于B组的情况,在后期,2组均降至最低水平且浓度接近。在整个实验过程中,两实验组中亚硝酸盐浓度均<0.25 mg/L,并没有明显的积累情况。总的来说,2组实验中,添加花生壳和刨花实验组的亚硝酸盐浓度相对其他碳源材料更低。

的积累

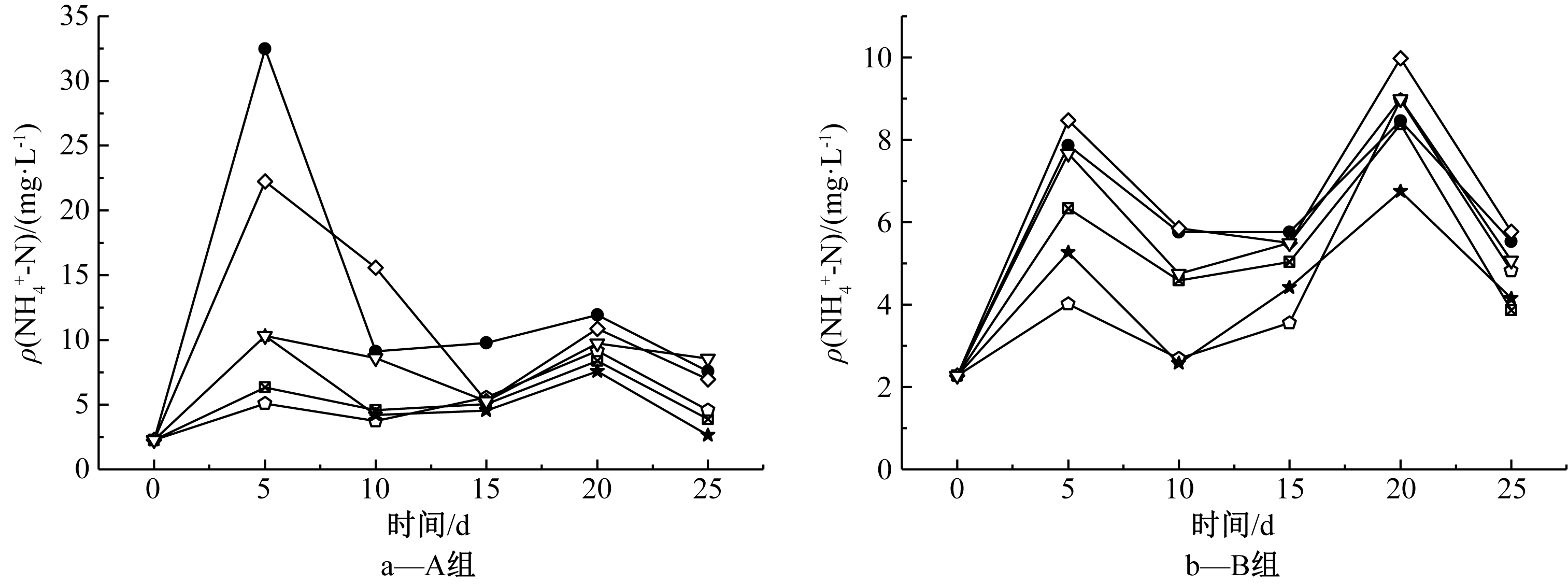
图3为反硝化实验过程中的积累情况。可明显看出:实验前期A组中添加稻草秸秆和玉米秸秆的积累明显(图3a),在第5天时达到最大值,分别为32.469,22.221 mg/L,其余碳源材料组的浓度基本维持在10 mg/L左右;B组中积累的最大值为玉米秸秆,在第20天时为9.981 mg/L,各碳源材料浓度变化情况比较一致,且与对照组变化趋势相同(图3b)。

推测出现积累的原因为:1) 厌氧条件下,碳源材料中的有机氮化合物在土壤微生物的作用

—对照组;—花生壳; —刨花; —稻草秸秆; —玉米秸秆; —小麦秸秆。
图2 不同碳源下土壤对的去除
Fig.2 Variation of nitrite content treated by soil with different carbon sources added

—对照组;—花生壳; —刨花; —稻草秸秆; —玉米秸秆; —小麦秸秆。
图3 不同碳源下随时间的变化
Fig.3 Variation in ammonia content treated by soil with different carbon sources added

下发生氨化作用[16];2) 还原态的是阳离子,在带阴离子的土壤胶体中易被吸附[12];另外,当黏土矿物晶层之间发生膨胀作用时,层间的阳离子会被土壤胶体吸附的所取代,从而固定 硝酸盐异化还原为的过程与反硝化同时存在,异化还原过程中还原成其中为主导产物,此作用发生的程度一般较小[18];4) 碳源材料自身的释放也是导致积累的原因之一[19]。综上,添加秸秆类碳源实验组积累情况较非秸秆类碳源(花生壳和刨花)严重。

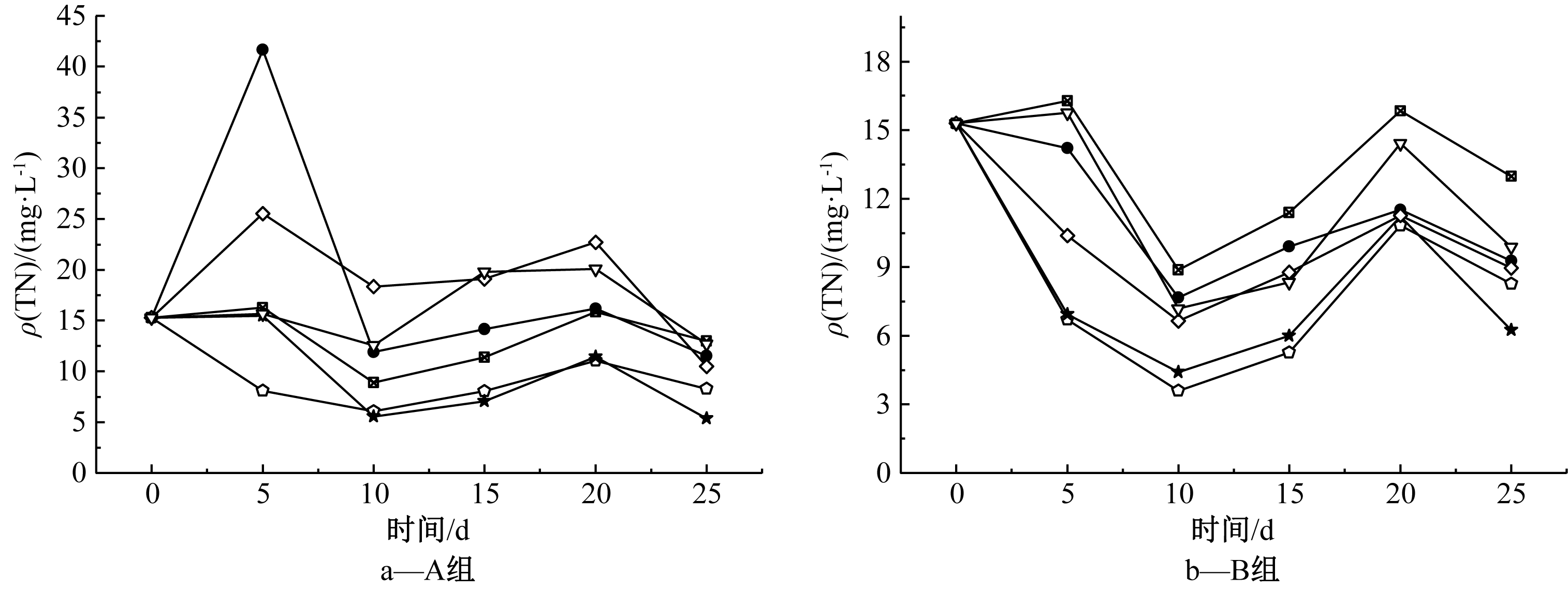
2.4 TN的变化

图4为反硝化实验过程中TN的变化情况。可知:在实验第10天,A、B两实验组中添加不同碳源材料的TN均降至较低水平,之后由于的积累导致TN浓度持续上升。与积累情况相似,两实验组TN浓度在实验后期均呈先上升后下降的趋势。至实验结束时,2组中添加花生壳、刨花和玉米秸秆的TN浓度相对较低,均<15 mg/L。由于A组中积累情况较为严重,因而导致TN去除率不高;B组中由于碳源添加量更少,积累相对较少,且具有更高的去除率,因此TN去除率也更高。从TN去除情况来看,m(碳源)∶m(土壤)=1∶10的比例更适用于强化三峡库区消落带土壤脱氮能力。

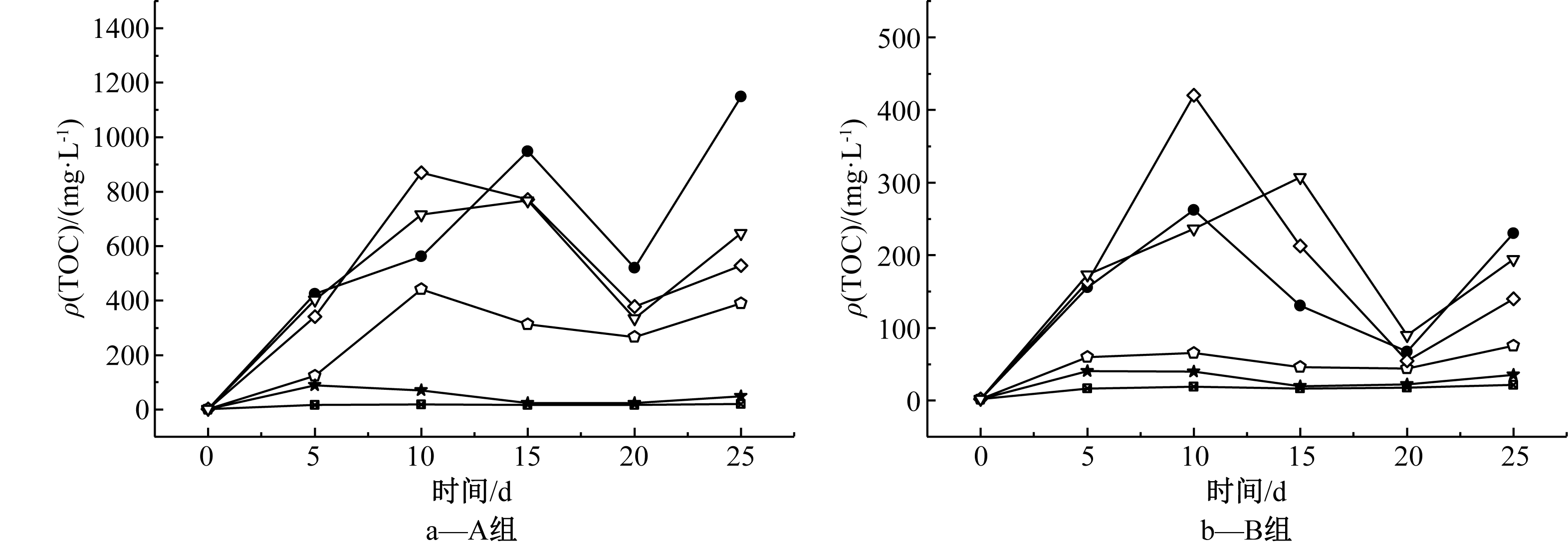
2.5 TOC的变化及释碳潜能分析

图5为添加不同碳源后TOC含量的变化情况。可知:对照组由于无碳源的加入,TOC含量始终在20 mg/L水平波动;A、B 2组各碳源TOC含量尽管呈现波动,但总体上呈上升趋势;两实验组中添加刨花的TOC浓度较低,始终维持在100 mg/L以下;相对于非秸秆类碳源,添加3种秸秆碳源材料的释碳量较为接近且处于较高水平,A组TOC浓度基本维持在500 mg/L以上,B组TOC浓度基本在200 mg/L以上。

由图5a可看出:除刨花外,A组其余4种碳源TOC浓度在前10 d均呈快速上升趋势,这是由于木质纤维材料与水溶液接触后,易于断裂的分子物质会迅速溶于水中,从而表现为农业废弃物在实验初期大量、快速释放TOC[20];第15天开始出现明显的先下降再上升的过程,这可能是由于小分子有机物已基本溶出,而木质纤维素的分解速度较慢,随实验时间的延长,碳源自身纤维素的水解使得TOC浓度又呈上升趋势[21]。由图5b可看出:添加刨花和秸秆类碳源实验组TOC浓度的变化趋势与A组相近;B组中花生壳实验组由于添加量的减少导致前期释碳量减少,后期TOC浓度无明显上升,均保持在<100 mg/L的水平。

—对照组;—花生壳; —刨花; —稻草秸秆; —玉米秸秆; —小麦秸秆。
图4 不同碳源下土壤对TN的去除
Fig.4 Variation in total nitrogen treated by soil with different carbon sources added

—对照组;—花生壳; —刨花; —稻草秸秆; —玉米秸秆; —小麦秸秆。
图5 不同碳源材料TOC的释放量
Fig.5 Release of TOC from different carbon sources

添加秸秆类碳源实验组TOC含量较高,且经过25 d的反硝化过程后TOC含量仍处于较高水平,考虑到积累及TOC含量过高易造成水体二次污染问题,不将秸秆类材料作为固体碳源的最优选择。添加花生壳实验组TOC含量较稳定且处于较低水平,同时具备持续供碳能力,因而可作为适宜的固体碳源。添加刨花实验组的TOC含量在整个反应过程中均处于较低水平,考虑该组在此TOC水平下仍能保持较高的去除率,因此刨花同样适宜作为强化土壤反硝化能力的固体碳源。

3 结 论

采用花生壳、刨花、稻草秸秆、玉米秸秆和小麦秸秆5种农业固废碳源,以m(碳源)∶m(土壤)=1∶4和1∶10的比例添加至三峡库区消落带土壤中,对模拟径流进行脱氮研究。

1)添加5种材料后的消落带土壤对去除效果均得到一定程度的强化,2种添加比例条件下,浓度均在5 d内即出现显著降低。其中,投加比为1∶10实验组中去除率相对更高,实验后期去除率均达到85%以上。在投加比为1∶10实验组中,刨花和花生壳相较于其他3种材料具有更高的去除率,因此二者是合适的强化三峡库区消落带土壤碳源。

2)2种碳源添加比例条件下,添加秸秆类碳源实验组中积累明显,较刨花和花生壳实验组更高,且TOC含量较高,存在对水体造成二次污染的风险;添加刨花和花生壳实验组在保证较高去除率的前提下,其TOC含量始终<100 mg/L,因此,综合考虑脱氮性能和安全性,花生壳和刨花更适合作为强化三峡库区土壤脱氮能力的碳源。

参考文献

[1] 郭佳, 蒋先军, 周雪, 等. 三峡库区消落带周期性淹水-落干对硝化微生物生态过程的影响[J]. 微生物学报, 2016, 56(6): 983-999.

[2] 李洪静, 陈银广, 顾国维. 丙酸/乙酸对低能耗生物除磷脱氮系统的影响[J]. 中国环境科学, 2008, 28(8): 673-678.

[3] Rustige H, Nolde E. Nitrogen elimination from landfill leachates using an extra carbon source in subsurface flow constructed wetlands [J]. Water Science and Technology, 2007, 56(3): 125-133.

[4] 吴一平, 王旭东. 初沉污泥作为生物脱氮除磷快速碳源的转化因素研究[J]. 西安建筑科技大学学报(自然科学版), 2005, 37(4): 501-503,508.

[5] 金赞芳, 陈英旭, 小仓纪雄. 以棉花为碳源去除地下水硝酸盐的研究[J]. 农业环境科学学报, 2004, 23(3): 512-515.

[6] 沈志红, 张增强, 王豫琪, 等. 生物反硝化去除地下水中硝酸盐的混合碳源研究[J]. 环境科学学报, 2011, 31(6): 1263-1269.

[7] Yang X L,Jiang Q, Song H L, et al. Selection and application wastes as solid carbon sources and biofilm carriers in MBR [J]. Journal of Hazardous Materials, 2012, 283: 186-192.

[8] 李斌, 郝瑞霞. 固体纤维素类废物作为反硝化碳源滤料的比选[J]. 环境科学, 2013, 34(4): 1428-1434.

[9] 李乐乐, 张卫民. 玉米秸秆碳源释放特征及反硝化效果[J]. 环境工程学报, 2015, 9(1): 113-118.

[10] 曾薇, 李磊, 杨莹莹, 等. A2O工艺处理生活污水短程硝化反硝化的研究[J]. 中国环境科学, 2010, 30(5): 625-632.

[11] 国家环境保护总局《水和废水监测分析方法》编委会. 水和废水监测分析方法[M]. 4版. 中国环境科学出版社, 2002.

[12] 朱兆良, 文启孝. 中国土壤氮素[M]. 南京: 江苏科学技术出版社, 1992.

[13] 李同燕, 李文奇, 胡伟武, 等. 玉米秆碳源去除地下水硝酸盐[J]. 环境工程学报, 2015, 9(9): 4245-4251.

[14] Xu X C,Xue Y, Wang D, et al. The development of a reverse anammox sequencing partial nitrification process for simultaneous nitrogen and COD removal from wastewater [J]. Bioresource Technology, 2014, 155: 427-431.

[15] Peng Y Z,Zhu G B. Biological nitrogen removal with nitrification and denitrification via nitrite pathway [J]. Applied Microbiology and Biotechnology, 2006, 73(1): 15-26.

[16] 王国惠. 环境工程微生物学[M]. 北京: 化学工业出版社, 2005.

[17] 刘兆荣, 陈忠明, 赵广英, 等. 环境化学教程[M]. 北京: 化学工业出版社, 2003.

[18] Schipper L A,Barkle G F, Vojvodicvukovic M. Maximum rate of nitrate removal in a denitrification wall [J]. Journal of Environmental Quality, 2005, 34: 1270-1276.

[19] 张雯, 张亚平, 尹琳, 等. 以10种农业废弃物为基料的地下水反硝化碳源属性的实验研究[J]. 环境科学学报, 2017, 37(5): 1787-1796.

[20] 焦瑞身. 微生物工程[M]. 北京: 化学工业出版社, 2005.

[21] 邵留, 徐祖信, 金伟, 等. 农业废物反硝化固体碳源的优选[J]. 中国环境科学, 2011, 31(5): 748-754.

IMPROVEMENT OF DENITRIFICATION IN SOIL FROM HYDRO-FLUCTUATION BELT OF THE THREE GORGES RESERVOIR BY AGRICULTURAL SOILID-WASTE CARBON SOURCES

WANG Chao-lin, CHENG Bo-yi, HUA Yu-mei

(College of Resources and Environment, Huazhong Agricultural University, Wuhan 430070, China)

Abstract: The denitrification ability of soil in the hydro-fluctuation belt of the Three Gorges Reservoir has an important influence on the watershed quality, and enhancement of the denitrification ability is helpful to improve the removal efficiency of nitrogen. The carbon source plays an important role in providing electron donors for denitrification. In current research, five kinds of agricultural wastes, peanut shell, wood shaving, rice straw, corn straw, and wheat straw, were applied as the carbon source for denitrification, and the nitrogen removal and carbon release were discussed simultaneously. The results showed the denitrification efficiency of soil was enhanced by carbon sources with ratios of carbon source and soil at 1∶4 and 1∶10. The soil with ratio of 1∶10 obtained higher removal efficiency, (more than 85% with all carbon sources). The releasing concentration of total organic carbon (TOC) with the two ratios of carbon source illustrated an obvious increase within 10 days. Although TOC fell during the later period for the soil with ratio of 1∶10, TOC concentration in the soil with straw kept high level. The TOC concentration in experimental groups with peanut shell and wood shaving as the carbon source was lower than the others, but still met the requirements of carbon for nitrate removal. In general, the peanut shell and wood shaving was suitable carbon source for the denitrification of soil based on the nitrogen removal and safety.

Keywords: denitrification; solid carbon source; carbon release; nitrate

DOI:10.13205/j.hjgc.201908018

*国家重点研发计划(2017YFC050530501)。

收稿日期:2018-09-19

第一作者:王超林(1993-),男,硕士研究生,主要研究方向为水污染控制。2275957463@qq.com

通信作者:华玉妹,女,副教授,主要研究方向为环境生态工程修复。ymhua@mail.hzau.edu.cn