不同填料对潜流湿地PO3-4-P去除效果的影响

王若凡* 汪文飞 王煜钧 盛 杨 杨思雨 李海超

(兰州交通大学 环境与市政工程学院,兰州 730070)

摘要:为解决中国西部农村生活污水的面源污染问题,采用吸附动力学和热力学试验,测定了6种天然和非天然潜流湿地填料吸附水中PO3-4-P的特性。结果表明:填料的吸附平衡时间均为24 h;对PO3-4-P的动力学吸附过程符合Elovich模型;温度为15~35 ℃时,砾石、混凝土、红砖、瓷砖和生物炭对PO3-4-P的平衡浓度为40 mg/L;砾石和生物炭对PO3-4-P的吸附过程符合Langmuir模型;混凝土、瓷砖、红砖和无烟煤对PO3-4-P的吸附过程符合Freundlich模型;吸附过程主要以物理吸附为主且吸热,PO3-4-P在填料中的吸附为焓推动作用,均不属于自发过程;在24 h时,混凝土对PO3-4-P的去除率为73.45%;因此,混凝土对PO3-4-P吸附效果最佳,更适宜作湿地填料。

关键词:潜流湿地;填料;磷酸盐;动力学吸附;热力学吸附

*第一作者、通信作者:王若凡(1983-),女,博士,副教授,主要研究方向为人工湿地污水处理。wangruofan@mail.lzjtu.cn

0 引 言

人工湿地是通过物理、化学和生物过程,达到对污水净化和湿地恢复的目的;填料是人工湿地的重要组成部分,其自身的物理化学特性对污水中磷的去除具有显著影响[1-4],人工湿地中的填料易选择孔隙度大、吸附能力强、比表面积大、为微生物提供更大附着面积的固体材料[5]。为了提高人工湿地对污水的净化效率,有学者研究了碎石、陶粒[6]、砾石[7]、蛭石、沸石[8]、粉煤灰砖[9]、河砂和石灰石[10]等材料对磷的吸附作用,发现石灰岩对磷的吸附效果较好,但对具体的吸附过程研究较少;也有学者采用等温吸附模型研究了多种填料吸附磷的效果和机理[11-15],但在288.15 K[16]温度条件下对填料吸附特性的影响研究较少。

本文以常见的砾石、混凝土、红砖、瓷砖、无烟煤和生物炭为研究对象,以PO3-4-P作为水中的含磷污染物,从吸附动力学和吸附热力学方面对填料吸附水中含磷污染物的性能进行研究,吸附过程采用Langmuir方程、Freundlich方程和Dubinin-Radushkevich(D-R)方程等温分析,并采用准一级、准二级动力学方程和Elovich方程对吸附过程进行拟合,旨在揭示填料对PO3-4-P的吸附机理及规律,为潜流湿地填料的选材提供科学依据。

1 试验部分

1.1 主要材料与仪器

材料:选用60目筛与20目筛之间的砾石、混凝土(水泥混凝土渣)、红砖、瓷砖、无烟煤、生物炭(木质)作为试验材料。

仪器:多功能恒温水浴振荡器(江苏正基仪器有限公司),紫外可见光分光光度计(尤尼柯上海仪器有限公司),TDL-40B高速离心机(上海安亭科学仪器厂)。

1.2 试验方法

1.2.1 动力学试验

各称取0.5 g填料于离心管,分别加入30 mg/L的KH2PO4溶液50 mL,置于恒温箱分别振荡10,20,30,60,90,180,300,600,1080,1440 min后取上清液,分别测其中PO3-4-P的质量浓度,2组平行试验取均值。

1.2.2 热力学试验

各称取0.5 g填料于离心管,分别加入不同质量浓度的KH2PO4溶液50 mL,ρ(PO3-4-P)分别为3.0,6.0,10.0,15.0,25.0,40.0,60.0,100.0 mg/L,置于恒温箱分别振荡1.2.1节的平衡时间后,取上清液分别测其中PO3-4-P的质量浓度,2组平行试验取均值,在15,25,35 ℃下分别用相同方法进行试验。

1.3 数据处理及指标测定

数据采用OriginPro 8.0软件拟合分析。PO3-4-P采用钼酸铵分光光度法,具体操作步骤详见《水和废水监测分析方法(第4版)》[17]

2 结果与讨论

2.1 填料对PO3-4-P的吸附动力学比选

6种填料对PO3-4-P的吸附过程可分为快、中、慢3个阶段,如图1所示,表明各填料表面存在高、中、低能量的吸附位点。吸附初期(t≤2.5 h),曲线斜率最大,为快速吸附阶段,分子之间的相互作用力主要是范德华力;吸附中期(2.5 h<t≤5 h),曲线斜率减小,为中速吸附阶段,这可能是填料对PO3-4-P吸附点位已经部分饱和;吸附后期(5 h<t≤24 h),填料对PO3-4-P吸附趋于平衡,为慢速吸附阶段,此阶段的PO3-4-P主要以膜扩散和孔隙扩散为主。PO3-4进入填料内部不易吸附的疏水位点,首先必须缓慢通过膜扩散穿透填料表面的分子层,然后通过孔隙扩散进入填料的孔隙内部。在24 h左右时,吸附逐渐达到平衡,即砾石、瓷砖、红砖、混凝土、无烟煤和生物炭的吸附平衡时间为24 h;6种填料对PO3-4-P的吸附量顺序依次为混凝土>生物炭>红砖>瓷砖>无烟煤>砾石;在24 h时,混凝土对PO3-4-P的去除率达到73.45%,吸附量为2.206 mg/g,这可能是混凝土颗粒表面的吸附位点周围大量富集了PO3-4,与混凝土胶体表面吸附位点上的一些基团(如羟基等)迅速进行配位体交换反应,使得吸附易于进行[10]

—砾石; —无烟煤; —红砖; —瓷砖; —混凝土; —生物炭。
图1 填料对PO3-4-P的吸附动力学曲线
Figure 1 Adsorption kinetics of PO3-4-P on the fillers

采用准一级动力学方程式(1)、准二级动力学方程式(2)和Elovich方程式(3)对PO3-4-P的吸附过程进行拟合[18,19],其表达式如下:

lnCt=a-kt

(1)

lnQ=a+klnt

(2)

Q=a+klnt

(3)

式中:Ctt时刻溶液质量浓度,mg/L;Q为填料对PO3-4-P的吸附量,mg/g;ak为动力学常数;t为反应时间,h。

吸附动力学线性拟合结果如表1所示。可知:Elovich模型拟合效果最佳,R2值为0.728~0.964,因此,6种填料对PO3-4-P的动力学吸附过程均符合Elovich模型,这表明填料对PO3-4-P的吸附包含表面吸附、颗粒内部扩散和外部液膜扩散等多种吸附过程[20]

表1 填料对PO3-4-P的吸附动力学特征参数
Table 1 Adsorption kinetics of PO3-4-P on the fillers

填料准一级动力学方程准二级动力学方程Elovich方程akR2akR2akR2砾石2.386 0.001 0.261 -2.1620.030 0.8020.115 0.004 0.807混凝土2.563 0.030 0.328 0.3320.235 0.6550.156 0.347 0.728红砖2.372 0.005 0.606 -2.1110.251 0.8790.131 0.034 0.964瓷砖2.359 0.002 0.499 -1.9610.083 0.9110.142 0.012 0.926无烟煤2.361 0.002 0.528 -1.9750.080 0.8820.140 0.011 0.916生物炭1.561 0.055 0.549 -0.5270.261 0.6940.667 0.154 0.802

2.2 填料对PO3-4-P的吸附热力学

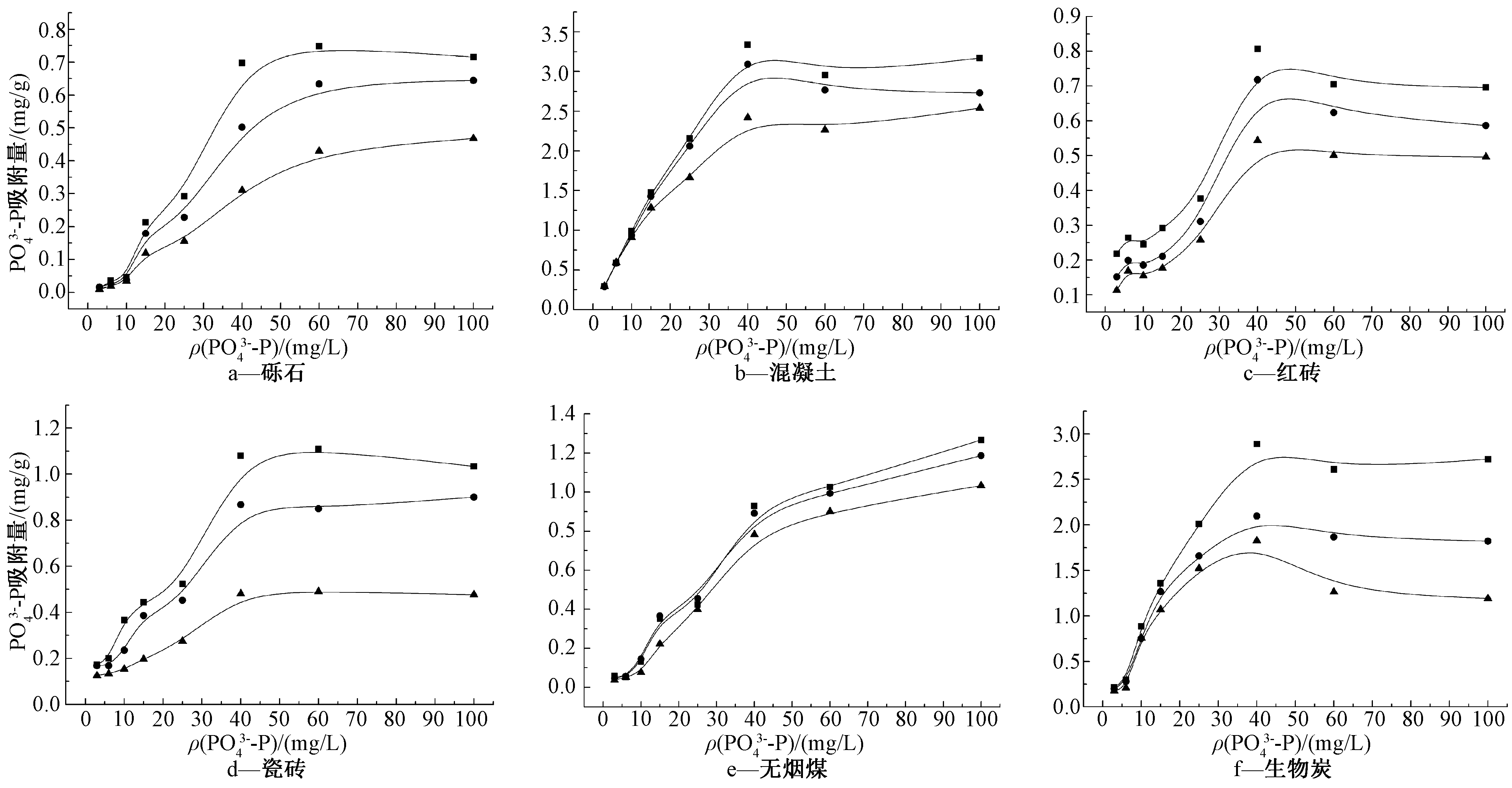
填料对PO3-4-P的吸附量随着溶液中PO3-4-P初始浓度的增加而增加,均符合“C”型。如图2所示,温度由15 ℃提高至35 ℃时,6种填料对PO3-4-P的吸附量均上升,这是由于温度升高,增加了吸附剂表面与PO3-4-P之间的作用力,PO3-4-P越容易吸附在填料表面,从而导致吸附量上升,属于吸热过程。溶液中ρ(PO3-4-P)为40 mg/L时,砾石、混凝土和瓷砖对PO3-4-P吸附点位已处于饱和状态;而红砖和生物炭的吸附趋势降低,这可能是生物炭和瓷砖表面的静电斥力及溶液流动的剪切作用力使得吸附剂表面未到达吸附位点的PO3-4-P脱离吸附剂而进入液体环境,故吸附量表现出下降的趋势。由图2e可知:随着PO3-4-P初始浓度升高,无烟煤的吸附量保持逐渐升高趋势,这可能是由于吸附剂中含有的Fe、Al、Ca等水解与PO3-4发生表面吸附形成Ca-P、Fe-P、Al-P等化合物[21],使得吸附量持续升高。

—35 ℃; —25 ℃; —15 ℃。
图2 不同填料对PO3-4-P的吸附热力学曲线
Figure 2 Thermodynamic curves of adsorption of PO3-4-P by different fillers

采用Langmuir方程式(4)、Freundlich方程式(5)和Dubinin-Radushkevich(D-R)方程式(6)来表示固体表面的吸附量与浓度之间的关系[22],表达式如下:

(4)

(5)

lnQ=lnQm-βε2

(6)

其中:

ε=RTln(1+1/Ce)

(7)

式中:Q为PO3-4-P的吸附量,mg/g;Qm为PO3-4-P的饱和吸附量,mg/g;Ce为吸附平衡后滤液中PO3-4-P浓度,mg/L;KL为Langmuir吸附特征常数;KFn为Freundlich特征常数;β为与吸附自由能有关的常数;ε为Polayi势能,(J·L)/(mol·mg);R为气体常数,E为平均自由能,kJ/mol,E=1·(2β)-1/2

拟合后的Langmuir、Freundlich和D-R等温吸附模型的相关参数见表2。比较相关系数R2可知砾石和生物炭对PO3-4-P的吸附过程符合Langmuir模型,表明吸附过程属于均匀的单层吸附。混凝土、瓷砖、红砖和无烟煤对PO3-4-P的吸附过程符合Freundlich模型,表明吸附过程为多分子层吸附且吸附表面不均匀,非线性指数n为0.9~3.995(n<0.5,吸附不易进行;n>1,吸附易进行;n=1,吸附不可逆[23]),即混凝土、红砖、瓷砖和无烟煤对PO3-4-P的吸附易进行,吸附曲线的截距(lgKF)随着温度升高而升高,表明该吸附过程吸热。D-R等温吸附模型中,当E<8 kJ/mol时,主要是以范德华力和氢键力为主的物理吸附;当E>8 kJ/mol时,主要是以离子交换为主的化学吸附[24]。由表2可知:E介于0.267~7.092 kJ/mol,均<8 kJ/mol,表明砾石、混凝土、瓷砖、红砖、无烟煤和生物炭对PO3-4-P的吸附主要以物理吸附为主。

表2 填料对PO3-4-P的热力学拟合特征值
Table 2 Thermodynamic fitting eigenvalues of fillers to PO3-4-P

填料温度/℃LangmuirFreundlichD-RQm/(mg/g)KLR2nKFR2Qm/(mg/g)β/(×10-6)R2E/(kJ/mol)砾石150.213 0.014 0.987 0.816 0.003 0.949 0.184 7.000 0.638 0.267 250.667 0.007 0.958 0.812 0.004 0.918 0.255 6.000 0.573 0.289 350.185 0.022 0.974 0.769 0.004 0.903 0.329 6.000 0.663 0.289混凝土151.763 7.937 0.877 3.483 0.769 0.781 1.365 0.010 0.155 7.092 252.779 1.118 0.840 3.092 0.978 0.812 2.300 0.070 0.869 2.674 354.701 1.180 0.906 3.995 0.987 0.933 2.915 0.040 0.954 3.534红砖150.323 0.303 0.693 2.382 0.081 0.847 0.288 0.010 0.284 7.092 250.376 0.389 0.587 2.476 0.106 0.790 0.370 0.600 0.316 0.913 350.430 1.068 0.446 3.310 0.183 0.759 0.444 0.200 0.255 1.582瓷砖150.313 0.305 0.624 2.365 0.078 0.887 0.292 0.700 0.327 0.845 250.502 0.315 0.601 2.045 0.113 0.889 0.492 0.600 0.348 0.913 350.691 0.230 0.766 1.984 0.136 0.907 0.621 0.600 0.453 0.913无烟煤152.337 0.0060.912 0.900 0.010 0.933 0.347 2.000 0.415 0.500 254.421 0.0040.890 0.956 0.103 0.917 0.524 5.000 0.607 0.316 350.903 0.0240.709 0.980 0.018 0.903 0.482 3.000 0.477 0.408生物炭151.815 0.0930.604 2.427 0.311 0.470 1.294 2.000 0.444 0.500 253.126 0.0720.695 2.208 0.378 0.582 1.491 0.800 0.621 1.265 354.521 0.5310.533 2.120 0.0770.561 2.157 0.600 0.596 0.913

2.3 吸附热力学参数

以1/T为横坐标,lnK为纵坐标作图可推算出焓变ΔHθ和熵变ΔSθ等热力学常数[25]。由式(7)求出吉布斯自由能变ΔGθ[26]

ΔGθ=-RTlnK

(7)

(8)

式中:R为理想气体摩尔常数,8.314 J/(mol·K);K为吸附平衡常数;T为吸附温度,K。

由2.2节结论可知:砾石和生物炭的吸附平衡常数为KL,混凝土、红砖、瓷砖和无烟煤的吸附平衡常数为KF。如表3所示,焓变值ΔHθ介于9.304~63.352 kJ/mol,ΔHθ均>0,表明砾石、混凝土、瓷砖、红砖、无烟煤和生物炭对PO3-4-P的吸附属于吸热过程。3个不同温度下的自由能变ΔGθ介于0.055~11.033 kJ/mol,ΔGθ均>0,表明吸附过程均不属于自发过程。熵变ΔSθ介于0.017~0.197 kJ/mol,ΔSθ均>0,表明PO3-4-P在填料中的吸附是焓推动作用。

表3 填料对PO3-4-P的吸附热力学参数值
Table 3 Thermodynamic parameters of adsorption of PO3-4-P on fillers

填料温度/℃ΔGθ/(kJ/mol)ΔHθ/(kJ/mol)ΔSθ/(kJ/mol)填料温度/℃ΔGθ/(kJ/mol)ΔHθ/(kJ/mol)ΔSθ/(kJ/mol)砾石1510.23915.919 0.017 瓷砖156.11120.590 0.050 2512.3255.405359.778352.951混凝土1531.3489.304 0.030 无烟煤1511.03323.370 0.048 250.055255.634350.6733510.292红砖156.02129.959 0.083 生物炭155.69763.352 0.197 255.563256.522354.351351.622

3 结 论

1)填料对PO3-4-P的吸附平衡时间均为24 h;动力学吸附过程符合Elovich模型,表明填料对PO3-4-P的吸附包含表面吸附、颗粒内部扩散和外部液膜扩散等多种吸附过程;在24 h时,混凝土对PO3-4-P的去除率达到73.45%,吸附量为2.206 mg/g。

2)砾石、混凝土、红砖、瓷砖和生物炭对PO3-4-P的吸附平衡浓度为40 mg/L;砾石和生物炭对PO3-4-P的吸附过程符合Langmuir等温吸附模型,吸附过程属于均匀的单层吸附;混凝土、瓷砖、红砖和无烟煤对PO3-4-P的吸附过程符合Freundlich等温吸附模型,吸附过程为多分子层吸附,且吸附表面不均匀。

3)温度为15~35 ℃时,PO3-4-P在填料上的吸附平均自由能E均<8 kJ/mol,即吸附过程主要以物理吸附为主,吉布斯自由能变ΔGθ、焓变ΔHθ和熵变ΔSθ均>0,即吸附过程是吸热且焓推动作用,均不属于自发过程,因此6种填料都适合作潜流湿地中吸附PO3-4-P的填料,其混凝土对PO3-4-P吸附效果最佳。

参考文献

[1] 李小艳,丁爱中,郑蕾,等. 1990—2015年人工湿地在我国污水治理中的应用分析[J]. 环境工程, 2018, 36(4): 11-17,5.

[2] 卢少勇, 万正芬, 李锋民, 等. 29种湿地填料对氨氮的吸附解吸性能比较[J]. 环境科学研究, 2016, 29(8):1187-1194.

[3] 刘超, 杨永哲, 宛娜. 建筑废料粉煤灰砖块作为人工湿地填料的除磷能力研究[J]. 水处理技术, 2013, 39(8):30-33.

[4] JIA H F, SUN Z X, LI G H. A four-stage constructed wetland system for treating polluted water from an urban river[J]. Ecological Engineering, 2014, 71:48-55.

[5] 杨晶涵, 余凯锋, 张波, 等. 一种多介质层波形潜流人工湿地处理重污染河水试验[J]. 环境工程, 2017, 35(9):7-12,23.

[6] 张修稳, 李锋民, 卢伦, 等. 10种人工湿地填料对磷的吸附特性比较[J]. 水处理技术, 2014,40(3):49-52,56.

[7] 陈昢圳, 华进程, 郑向群, 等. 以建筑废砖为填料的人工湿地对农村生活污水的净化效果[J]. 环境工程, 2017, 35(9):35-39.

[8] 邵立荣, 宋振杨, 冯素敏, 等. 天然与改性沸石对磷酸盐吸附效能及机理研究[J]. 工业水处理, 2018, 38(4):64-68.

[9] 茆永峰, 惠振龙, 路博华, 等. 典型建筑废弃物对磷的吸附特征及其在复合垂直潜流人工湿地中的应用研究[J]. 水处理技术, 2014,40(11):83-87.

[10] 李兆欣, 周雪, 黄炳彬, 等. 碳化缓释除磷填料的制备与吸附特性分析[J]. 环境科学与技术, 2017,40(5):49-53.

[11] 张小玲, 朱光灿. 加气混凝土砌块吸附初期径流中磷的效果与机制[J]. 环境工程学报, 2018, 12(8):2202-2209.

[12] 万正芬, 张学庆, 卢少勇, 等. 19种人工湿地填料对磷吸附解吸效果研究[J]. 水处理技术, 2015, 41(4):35-39,44.

[13] 方伟成, 王静, 周新萍. 三种填料吸附磷的特性及其影响因素[J]. 湿地科学, 2018,16(3):341-346.

[14] 张小梅, 李睿华, 刘卓, 等. 天然菱铁矿去除水中磷的性能研究[J]. 环境科学学报, 2017,37(1):222-229.

[15] ROSSI C G, D M HEIL, N BEA BONUMA. Evaluation of the Langmuir model in the Soil and Water Assessment Tool for a high soil phosphoruscondition[J].Environmental Modelling & Software,2012,38:40-49.

[16] 石启龙, 赵亚, 马占强. 雪莲果吸附等温线及热力学性质研究[J]. 农业机械学报, 2014, 45(1):214-221.

[17] 国家环境保护总局《水和废水监测分析方法》编委会.水和废水监测分析方法[M]. 4版. 北京:中国环境科学出版社, 2002.

[18] 向衡, 韩芸, 刘琳, 等. 低浓度含磷水体除磷填料的选择研究[J]. 环境科学学报, 2013, 33(12):3227-3233.

[19] ELMOUBARKI R,MAHJOUBI F,TOUNSADI H,et al. Adsorption of textile dyes on raw and decanted Moroccan clays: kinetics,equilibrium and thermodynamics[J]. Water Resources and Industry,2015,9:16-29.

[20] OLIVEIRA M,ARAUJO A,AZEVEDO G,et al. Kinetic and equilibrium studies of phosphorous adsorption: effect of physical and chemical properties of adsorption agent[J].Ecological Engineering,2015,82:527-530.

[21] 丁伟, 巴图其木格, 张玲玲, 等. 自燃煤矸石吸附磷的动力学和热力学[J]. 环境工程学报, 2017, 11(7):4059-4066.

[22] JEPPU G P, CLEMENT T P. A modified Langmuir-Freundlich isotherm model for simulating pH-dependent adsorption effects[J].Journal of Contaminant Hydrology,2012(129/130):46-53.

[23] 蒋煜峰, 刘兰兰, 原陇苗, 等. 秸秆焚烧物对黄土吸附五氯酚的影响研究[J]. 中国环境科学, 2018, 38(5):1826-1836.

[24] KIRAN I, AKAR T, ÖZCAN A S, et al.Biosorption kinetics and isotherm of Acid Red 57 by dried Cephalos porium aphidicola cells from aqueous solution [J]. Biochemical Engineering Journal, 2006,31(3):197-203.

[25] 顾怡冰, 马邕文, 万金泉, 等. 类水滑石复合材料吸附去除水中硫酸根离子[J]. 环境科学, 2016, 37(3):1000-1007.

[26] 孙航, 蒋煜峰, 石磊平, 等. 不同热解及来源生物炭对西北黄土吸附敌草隆的影响[J]. 环境科学, 2016, 37(12):4857-4866.

SPECIFIC SELECTION OF FILLERS OF SUBSURFACE FLOW WETLAND AND THE REMOVAL EFFECT OF PO3-4-P

WANG Ruo-fan*, WANG Wen-fei, WANG Yu-jun, SHENG Yang, YANG Si-yu, LI Hai-chao

(School of Environmental and Municipal Engineering, Lanzhou Jiaotong University, Lanzhou 730070, China)

Abstract: In order to solve the problem of non-point source pollution of domestic sewage in rural area of western China, adsorption kinetics and thermodynamics tests were carried out to determine the adsorption characteristics of PO3-4-P in 6 kinds of natural and artificial subsurface flow wetland fillers. The results showed that the adsorption equilibrium time of the fillers were 24 h, and the kinetic adsorption process of PO3-4-P was in accordance with the Elovich model. The equilibrium concentration of gravel, concrete, red tile, ceramic tile and biochar to PO3-4-P were 40 mg/L, when the temperatures were in 15~35 ℃. The adsorption process of PO3-4-P to gravel and biochar accorded with Langmuir model, and that of concrete, ceramic tile, red brick and anthracite accorded with Freundlich model. The adsorption process was mainly based on physical adsorption and heat absorption. The adsorption of PO3-4-P in the packing was not a self-development process. At 24 h, the removal rate of PO3-4-P by concrete was 73.45%. Therefore, concrete had the best adsorption effect on PO3-4-P and was proved to be more suitable for wetland filling.

Keywords: subsurface flow wetland fillers; phosphate kinetic adsorption; thermodynamic adsorption

DOI:10.13205/j.hjgc.202003015

收稿日期:2019-03-04

基金项目:国家自然科学基金(51669010,51541902);甘肃省自然基金(17JR5RA105);兰州交通大学青年基金(2017008);兰州交通大学大学生科技创新项目基金(DXS-KJCX-2018-020)。