海绵城市透水砖铺装系统雨水入渗及重金属污染物迁移模拟

孙召东1,2 宋洪庆1* 邢 奕3 李 杰2 陆宇尘2 王九龙1

(1.北京科技大学 土木与资源工程学院, 北京 100083; 2.深圳市智能水务有限公司, 广东 深圳 518000; 3. 北京科技大学 能源与环境工程学院, 北京 100083)

摘要:海绵城市透水砖铺装系统(PBPS)入渗特征是产流控制及径流污染物去除的重要影响因素之一。通过渗流实验,构建系统土壤层土水特征曲线,建立降雨入渗及径流重金属污染物迁移数学模型,以阐明找平层土壤粒径、基层与垫层厚度比对产流时间及径流重金属污染物去除的影响。研究表明:综合考虑延迟产流与径流重金属去除能力,中砂作为找平层介质最佳;依据结构层出水重金属污染物浓度,基层与垫层厚度比为15∶4时,PBPS对径流中重金属污染物吸附效率最高、去除效果较好。

关键词:透水砖铺装系统(PBPS); 数值模型; 产流; 重金属污染物; 海绵城市

0 引 言

随着城镇化速度加快,城市不透水面积占比与日俱增,地表径流对地下水污染的威胁日益加重,透水铺装已成为可持续城市排水系统技术之一[1,2],在延迟产流及削减径流污染物方面具有较强性能,成为现阶段常用的低影响开发措施。根据实际需求衍生出材料与结构各异的透水铺装系统。由于透水砖具有较强的渗透性、保水性、耐磨性、抗冻性及抗压强度等特点[3],以透水砖作为面层的透水砖铺装系统(PBPS)被广泛应用。现阶段评判PBPS优劣时,未能以延迟产流及削减径流污染物综合能力作为标准[4,5],且结合系统找平层土壤粒径及基层与垫层厚度比对该方面研究较少。

本文以海绵城市试点城市北京市海淀区为例,通过渗流实验,构建PBPS土壤层土水特征曲线,依据土水特征曲线模型,得到各土壤入渗物性参数;建立系统降雨入渗数学模型及径流重金属污染物迁移数学模型,结合系统各层径流入渗及污染物运移参数,形成结构层出水中重金属污染物浓度计算方法;分析了找平层土壤类型与基层垫层厚度比对系统产流时间及结构层出水中重金属污染物浓度的影响,获得系统找平层最优土壤粒径及基层和垫层最优厚度比,从而为海绵城市透水砖铺装工程建设提供参考。

1 PBPS土壤层土水特征曲线测定

1.1 PBPS结构概况及实验土料

PBPS一般分为5层,从上至下依次为:面层、找平层、基层、垫层与土基,其中除土基外,其余部分为系统的结构层。图1为PBPS系统结构示意图。

图1 PBPS示意
Figure 1 Schematic of PBPS

本研究找平层与土基土壤选于北京市海淀区。分别采集近地面处20 cm内的浅层土与地面埋深25 cm以下土层若干。其中,将浅层土按3种粒径范围进行筛分,作为3种找平层土壤,而将深层土作为土基。按照GB/T 50123—2019《土工试验方法标准》测定PBPS土壤层基本土性参数,表1为测定结果。

表 1 PBPS土壤层基本土性指标
Table 1 Basic properties of PBPS soil layers

项目土壤类型土壤粒径/mm土壤比重土壤孔隙比土壤干密度/(g/cm3)饱和导水系数/(cm/s)饱和含水率/(cm3/cm3)找平层粗砂0.5~22.5781.321.119.60E-040.5551中砂0.1~0.252.4321.271.075.88E-040.5602细砂<7.5E-022.3151.251.032.87E-040.5694土基 粉质黏土—2.5960.8681.395.02E-050.6011

1.2 实验方法及结果

土壤土水特征曲线可表征土壤质地和孔隙等物理性质,为模拟雨水入渗与径流污染物迁移规律提供参数[6],所以对PBPS找平层土水特征曲线研究是必要的。土水特征曲线是土壤体积含水率与基质吸力之间的关系,现阶段测定方法有张力计法、轴平移法、滤纸法等。由于滤纸法测量土壤基质吸力范围广、实验成本低[7],本文选用滤纸法测定土壤土水特征曲线,具体见图2,其中采用各实验组相同直径环刀容纳土样,每份体积约为60 cm2

本文选van Genuchten模型[8](简称VG模型)进行土水特征曲线拟合。VG模型公式如下:

(1)

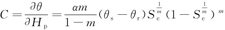
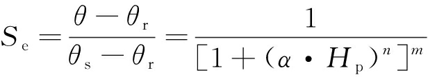
式中:Se为土壤有效饱和度,无量纲;θ为土壤体积含水率,m3/m3θr为土壤残余含水率,m3/m3θs为土壤饱和含水率,m3/m3α为土壤进气值的倒数,m-1Hp为土壤的基质吸力,cm;nm为经验参数,其中

图2 滤纸法测定PBPS土壤层土水特征曲线实验步骤
Figure 2 The test procedure for determining PBPS soil layers soil-water characteristic by filter paper method

图3为各土壤土水特征曲线实测值与拟合曲线关系。可知:各土壤土水特征拟合曲线均呈倒“S”形,土壤体积含水率随着基质吸力的增大而减小。表2为各土壤土水特征曲线的拟合参数结果,可得,各拟合曲线R2值均>0.95,说明该模型拟合效果较好。

粗砂土壤拟合曲线; 中砂土壤拟合曲线; 细砂土壤拟合曲线; 土基土壤拟合曲线; 粗砂土壤实测区间; 中砂土壤实测区间; 细砂土壤实测区间; 土基土壤实测区间。
图3 PBPS土壤层土水特征曲线实测值及拟合曲线
Figure 3 The measured values and fitting curves of soil-water characteristic of PBPS soil layers

表 2 PBPS土壤层土水特征曲线拟合参数
Table 2 Fitting parameters of soil-water characteristic curves for PBPS soil layers

土壤类型α/cm-1nmR2粗砂4.8301.9870.4960.9533中砂3.7322.0500.5120.9507细砂1.5992.2500.5560.9665粉质黏土1.8601.6100.37890.9576

2 数学模型

2.1 PBPS降雨入渗数学模型

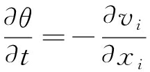
鉴于PBPS各层材料差异,雨水在每层的入渗特征及产流规律显然不同[9]。Richards方程是非饱和土壤水分运动的基本方程,该方程适用于模拟PBPS中找平层与土基土壤雨水入渗过程。根据能量守恒定理得到方程:

(2)

式中:vii方向上的流速,cm/s;i=1,2,3分别为xyz方向。根据达西定律可得式(3):

(3)

式中:H为总土水势,为重力势D与基质势Hp之和,cm;K为土壤的水力传导率方程,结合式(1)得到导水系数方程[10]

(4)

式中:kr为土壤的相对传导率,无量纲;Ks为土壤的饱和导水系数,cm/s。将式(2)与式(3)联立可得方程:

(5)

式(5)引入土壤容水度函数C,将该式转换为以基质势为变量的土壤水运动方程:

(6)

式(6)由式(1)展开得出:

(7)

假设模型中降雨强度及系统各层压力水头恒定,且底部恒不透水,将结构层垂直下方设为无限源域,所以降雨入渗数学模型的初始条件及边界条件如下:

(8)

式中:n为边界曲面的单位法向向量;u为速度场;P为降雨强度,cm/h。

2.2 PBPS径流重金属污染物迁移数学模型

径流中重金属污染物在流经系统结构层时,忽略污染物在气相中反应或积累作用,只考虑污染物在液相与固相中的含量变化,伴随对流、衰减、分散及吸附作用,液相与固相中重金属污染物含量随着入渗时间呈不规则变化,但基于质量守恒定律,可得出重金属污染物在系统运移的质量平衡方程见式(9):

RL+∑RP+Sc

(9)

式中:θ为各层体积含水率,与各层有效孔隙率相等;c为重金属污染物浓度,mol/m3cP为基层单位固体吸附重金属污染物质量,mg/kg;ρb为各层容重,kg/m3DL为水动力弥散张量,m2/d;RL为溶解在水中的重金属污染物反应的量,mol/(m3·d);RP为附着在固体颗粒上的重金属污染物反应的量,mol/(m3·d);Sc为单位体积单位时间增加污染物的量,mol/(m3·d)。

式(9)中涉及变量较多,将式的左边做部分变换,仅对溶解浓度求解更加便于计算,故变换如下:

(10)

另外,cPc发生变化,可与线性等温或分配系数建立关系。其中,cP与分配系数呈现线性关系,如式(11)所示:

(11)

式中:kP为分配系数,m3/kg。将式(11)代入式(10),并联合式(12)得到式(13):

(12)

θφLc+ρbkPφPc+Sc

(13)

式中:φLφP分别为溶解于液体的、吸附在基层上的重金属污染物的衰减率,d-1DL共包括两种扩散:化学扩散以及地下水流动产生的机械扩散,具体表达式如下:

(14)

式中:DLii为弥散张量中对角元素;DLij为交叉项;α为弥散性,其中下标1、2分别代表纵向和横向的弥散性,m;Dm为分子扩散系数,m2/d;τL为曲折因子,具体表达式如下:

(15)

cP由模拟中选定的吸附模型确定,由于Langmuir较Freundlich吸附模型适合各种浓度,且式中各参数都有较明确的物理意义[11],故采用Langmuir吸附等温式作为基层吸附径流中重金属污染物吸附模型,如式(16)所示:

(16)

式中:cPmax为吸附剂上最大吸附量,mol/kg;kL为Langmuir常数,m3/mol。

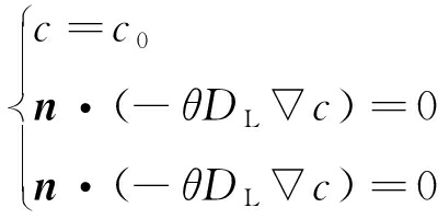
假设模型中径流重金属污染物初始浓度恒定且系统速度场由弥散张量表示,所以该模型在溶质迁移模拟中的边界条件为:

(17)

式中:c0为径流中某重金属的初始浓度,mol/m3

2.3 计算过程

通过系统入渗模型与径流重金属污染物迁移模型的建立,基于COMSOL Multiphysics软件计算得出找平层土壤粒径及基层与垫层厚度比对径流重金属污染物去除的影响。为保证计算结果的准确性,预先对实验值与模拟值进行验证,图4为主要计算步骤流程。

图4 PBPS结构层出水浓度计算流程
Figure 4 The effluent concentration calculation process of PBPS structure layer

3 结果与讨论

3.1 参数设定

模拟PBPS土壤层雨水入渗时,表2数据可为其提供参数支持;而模拟PBPS非土壤层部分雨水入渗时,则需拟定各层参数。表3为PBPS非土壤层入渗及径流重金属污染物迁移参数。

3.2 模型验证

选用Sounthararajah等[12]通过PBPS小试装置得出的实验数据与本文模型进行对比,该实验径流中Ni、Cu、Zn、Pb浓度分别为0.06,0.6,2,1 mg/L,降雨强度为16.3 cm/h。

表 3 PBPS非土壤层入渗及径流重金属污染物迁移参数
Table 3 The parameter setting of infiltration and runoff pollutants migration in non-soil layer of PBPS

参数名称面层基层垫层Ks/(×10-4 cm/s)1.141.272.2εp/%373531θ'/%852DL/(×10-10 m2/d)3.74112234α1/(×10-3 m)522α2/(×10-3 m)11.51.5cPmax/(×10-2mol/kg)KL/(×10-2m3/mol)—1.364.09—

注:εp为PBPS非土壤层有效孔隙率,%;θ′为PBPS非土壤层雨水吸附率,%;径流重金属污染物迁移参数以Ni为例。

Ni,σ=11.07%实验值; Ni,σ=11.07%模拟值; Cu,σ=12.38%实验值; Cu,σ=12.38%模拟值; Zn,σ=10.91%实验值; Zn,σ=10.91%模拟值; Pb,σ=14.66%实验值; Pb,σ=14.66%模拟值。
图5 径流中4种重金属污染物出水浓度实验值与模拟值对比
Figure 5 Comparison of experimental values and simulated values of four heavy metal pollutants concentration effluent of runoff

统雨水入渗及重金属污染物迁移情况是可行的。相对误差σ表达式如下:

(18)

式中:x为结构层出水中重金属污染物浓度模拟值,mol/m3μ为结构层出水中重金属出水浓度实测值,mol/m3

表4为基层对径流各重金属污染物吸附参数及重金属污染物初始浓度的设定[13]

3.3 找平层土壤粒径影响分析

找平层由砂性土壤组成,由于该层渗透能力不及PBPS其他结构层,故其粒径对系统雨水入渗及重金属污染物迁移造成影响。基于透水砖路面技术规程及城市雨水系统规划设计暴雨径流计算标准,确定海淀区设计暴雨强度为4.45 cm/h,本文以该值作为系统降雨强度。

表 4 基层对径流各重金属污染物吸附参数及重金属污染物初始浓度
Table 4 The adsorption parameters of the base level and initial concentrations of heavy metal pollutants of runoff in PBPS

重金属污染物cPmax/(×10-2 mol/kg)KL/(×10-3 m3/mol)C0/(m3/mol)Ni1.3640.90.698Cu2.0826.81.259Zn1.3530.67.187Pb1.714.340.391

3.3.1 产流时间

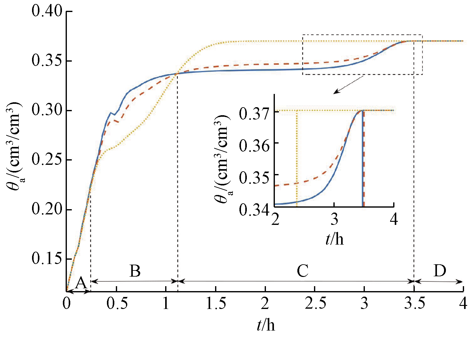
由于PBPS面层导水系数远大于降雨强度值,所以可通过比较面层平均体积含水率θa与面层饱和体积含水率θs判断系统产流时间。图6为分别以粗砂、中砂及细砂作为找平层时,θa随降雨时间的关系。可得:θa随降雨时间而逐渐达到饱和;当θaθs相等时,该时刻起系统开始产流,该时刻前后依次为:细砂、粗砂、中砂,其中,中砂相比粗砂、细砂作为找平层时,分别延迟产流时间0.57%、47.06%。所以在系统产流时间上,以中砂作为找平层相比粗砂没有较大差异,但二者相比细砂作为找平层时,产流时间则有明显延迟。

注:图中A—D指不同降雨时段。
粗砂; 中砂; 细砂。
图6 3种找平层面层平均体积含水率随降雨时间的变化
Figure 6 The average water volume content of the surface layer of the three leveling layer soils varying with the rainfall duration

另外,θa随降雨时间大致分为4个阶段:降雨强度控制阶段(A),降雨初期各找平层土壤均具有较大的基质吸力,所以各找平层土壤θa随降雨时间变化相同;土壤基质吸力控制阶段(B),由于各找平层体积含水率与θa呈反比,所以θa与土壤粒径呈反比;土壤有效孔隙率控制阶段(C),基层及垫层均为蓄满产流状态,由于找平层土壤有效孔隙率与θa呈反比,所以θa与土壤粒径呈正比;最终(D),各找平层土壤达到饱和,θa趋于恒值。

3.3.2 径流重金属污染物去除

结合基层对径流中各重金属污染物的吸附参数,研究了径流中Ni、Cu、Zn、Pb 4种重金属污染物去除情况。图7为以粗砂、中砂、细砂作为找平层时,结构层出水中重金属污染物浓度及其去除率随降雨时间的变化情况。可得:结构层出水中重金属污染物浓度均随降雨时间逐渐增大;在持续降雨6 h内,以粗砂作为找平层土壤时,结构层出水浓度明显最高;中砂次之;细砂最小;其中中砂相比细砂,各重金属污染物去除率仅减小4.35%(Ni)、4.41%(Cu)、8.03%(Zn)、2.72%(Pb)。

重金属浓度(粗砂); 重金属浓度(中砂); 重金属浓度(细砂); 重金属去除率(粗砂); 重金属去除率(中砂); 重金属去除率(细砂)。
图7 PBPS不同找平层土壤下结构层出水中重金属污染物浓度及其去除率
Figure 7 The effluent concentration and removal rates of runoff heavy metal corresponding to the three leveling layer soils in PBPS

另外,不同找平层土壤粒径下系统对径流重金属污染物去除能力的差异,主要取决于雨水在基层水力停留时间。由于找平层位于基层之上,找平层底部出水速率越大,雨水在基层水力停留时间越短,基层对各重金属元素吸附效率越小。由于找平层底部出水速率与找平层土壤粒径呈负相关,结构层出水中重金属污染物浓度及其去除率分别与找平层土壤粒径呈正相关、负相关。

综合3种找平层土壤在PBPS中产流时间及径流重金属污染物去除情况,并根据图6—7研究结果分析可得:以粗砂或中砂作为找平层土壤对于系统产流时间滞后效果明显;以中砂或细砂作为找平层土壤对于径流重金属污染物去除作用显著,所以在不考虑PBPS其他层配置参数时,中砂作为找平层对系统延迟产流及削减径流重金属污染物均有明显作用。

3.4 基层厚度影响分析

PBPS中基层厚度较大,且由吸附性材料填充,对系统削减径流重金属污染物及存储雨水起到关键作用[2]。本文固定基层与垫层总厚度为19 cm[9],研究基层与垫层厚度比对系统产流时间及径流重金属污染物去除影响,进而找出基层与垫层最优厚度。

3.4.1 产流时间

图8为PBPS系统以中砂作为找平层时,系统产流时间随基层厚度的变化情况。可得:系统产流时间随基层厚度未有明显变化,产流时间平均为3.48 h。由于基层对径流中重金属污染物吸附过程属单分子吸附,且通过表3可得,基层与垫层有效孔隙率相近,所以基层与垫层厚度比的改变,对于二者总蓄水能力未有明显影响。由此看出,系统基层与垫层厚度比均未对产流时间产生影响。

图8 PBPS产流时间随着基层厚度的变化
Figure 8 The runoff producing time varies with thickness of the base layer in PBPS

3.4.2 径流重金属污染物去除

综合径流各重金属污染物的去除效果及基层吸附效率,进而确定基层与垫层的最优厚度比。首先以基层单位面积瞬时吸附重金属污染物的量,对基层吸附效率进行表征。计算公式如下:

(19)

式中:qcw为基层单位面积瞬时吸附重金属污染物的量,mol/m3c0为径流重金属污染物初始浓度,mol/m3ce为结构层出水中重金属污染物浓度,mol/m3t为降雨持续时间,h;h为基层厚度,cm。

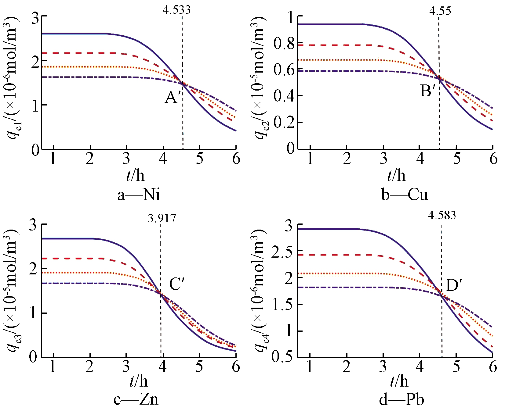
图9为中砂作为找平层时,持续降雨6 h内,qcw随基层厚度的变化情况。可得:在A′、B′、C′、D′各点对应时刻前,qcw随降雨时间的增大而减小,而之后趋势相反。由于降雨初期时,基层吸附点位数量充足,所以该阶段基层厚度越小,吸附效率越高;之后由于较小厚度的基层吸附点位剩余数量不及较厚的基层,所以该阶段基层厚度越大,吸附效率越高。

基层厚度10 cm; 基层厚度12 cm; 基层厚度14 cm; 基层厚度16 cm。
图9 PBPS中qcw随着基层厚度的变化
Figure 9 The qcw varies with thickness of the base layer in PBPS

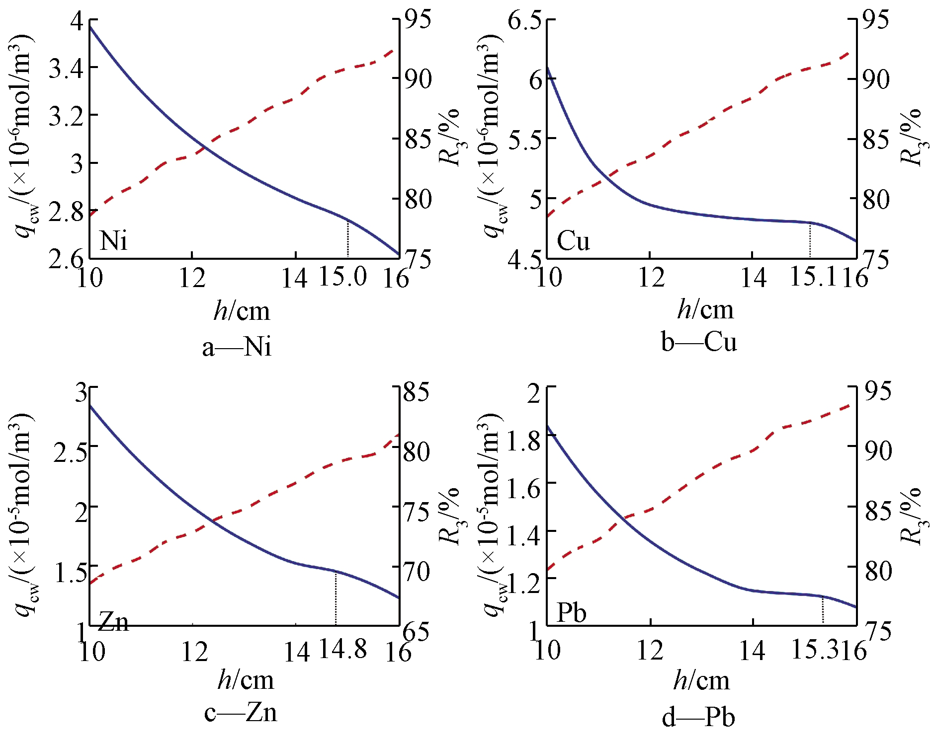
之后针对基层吸附效率,以某时段(tbtc)基层单位面积平均吸附重金属污染物的量,对基层吸附效率进行表征。该参数表达式如下:

(20)

图10为持续降雨6 h内,与径流重金属污染物平均去除率与基层厚度的关系。可得:随着基层厚度增大,逐渐减小,而则逐渐增大;随着基层厚度增大,虽呈下降趋势,但减小速率先减小后增大。其中,基层厚度在15 cm左右时,基层对径流中各重金属污染物吸附能力下降速率达到最小值。所以基层厚度设定为15 cm、垫层厚度设定为4 cm时,基层吸附效率最高且系统对径流中各重金属污染物去除效果较好。此时,分别为


图10 PBPS中随着基层厚度的变化(持续降雨6 h内,P=4.45 cm/h)
Figure 10 The and vary with thickness of the base layer in PBPS within 6 h of continuous rainfall(P=4.45 cm/h)

根据图8—10可得:基层厚度为15 cm、垫层厚度为4 cm时,系统产流延迟与重金属污染物去除能力最佳。

4 结 论

本文通过渗流实验,构建PBPS土壤层土水特征曲线,进而建立系统降雨入渗及径流重金属污染物迁移数学模型,形成结构层出水中重金属污染物浓度计算方法。综合系统产流时间与径流重金属污染物去除情况,确定了找平层土壤最优粒径、基层与垫层最优厚度比,阐明并量化了系统产流时间、结构层出水中重金属污染物浓度及其去除率随着降雨时间的变化情况。计算结果表明:

1)中砂土壤作为找平层时,系统可以较好地延迟产流时间;找平层土壤粒径越小,径流重金属污染物去除效果越好,但中砂相比细砂,径流重金属污染物去除率相差不大,平均约为5%,因此综合产流时间和水质效果,选取中砂作为找平层较好。

2)基层厚度越大,重金属污染物的吸附效果越好。降雨初期吸附效率随着基层厚度增加而减小;降雨中后期时,吸附效率随着基层厚度增加而增加。

3)以中砂作为找平层、基层与垫层厚度比为15∶4时,PBPS对径流中重金属污染物吸附效率最高,去除效果较好。

参考文献

[1] 王兴桦, 侯精明, 李丙尧, 等. 多孔透水砖下渗衰减规律试验研究[J]. 给水排水, 2019,55(增刊1):68-71.

[2] 王俊岭, 魏江涛, 王雪明, 等. 透水混凝土铺装基层3种骨料对典型径流污染物吸附效果比较[J]. 科学技术与工程, 2017,17(3):303-309.

[3] CAI R Z, MANDULA, CHAI J Y. Research on the performance of sand-based environmental-friendly water permeable bricks[J]. Iop Conference Series Earth and Environmental Science, 2018, 113(1): 012136.

[4] BENTARZI Y, GHENAIM A, TERFOUS A, et al. Hydrodynamic behaviour of a new permeable pavement material under high rainfall conditions[J]. Urban Water Journal, 2016,13(7):687-696.

[5] ZHANG Z Y, LI Z F, ZHANG X R, et al. Systematically investigated the influences of permeable pavement materials on the water quality of runoff: batch and column experiments[J]. Water, Air, & Soil Pollution, 2018, 229(5): 155.

[6] 王维早, 许强, 郑海君. 特大暴雨诱发平缓浅层滑坡堆积土饱和与非饱和水力学参数试验研究:以王正塝滑坡为例[J]. 地质科技情报, 2017,36(1):202-207.

[7] 吴珺华, 杨松. 滤纸法测定干湿循环下膨胀土基质吸力变化规律[J]. 农业工程学报, 2017,33(15):126-132.

[8] VAN GENUCHTEN M T. A closed-form equation for predicting the hydraulic conductivity of unsaturated soils 1[J]. Soil Science Society of America Journal, 1980,44(5):892-898.

[9] 孙召东, 宋洪庆, 张海龙, 等. 海绵城市透水砖铺装雨水入渗模型及产流分析[J]. 环境工程, 2019,37(7): 39-46.

[10] WEBER T K, IDEN S C, DURNER W. Unsaturated hydraulic properties of Sphagnum moss and peat reveal trimodal pore-size distributions[J]. Water Resources Research, 2017,53(1):415-434.

[11] XIANG B, FAN W, YI X W, et al. Dithiocarbamate-modified starch derivatives with high heavy metal adsorption performance[J]. Carbohydrate Polymers, 2016,136:30-37.

[12] SOUNTHARARAJAH D P, LOGANATHAN P, KANDASAMY J, et al. Removing heavy metals using permeable pavement system with a titanate nano-fibrous adsorbent column as a post treatment[J]. Chemosphere, 2017,168:467-473.

[13] ZHAO H T, LI X Y, WANG X M, et al. Grain size distribution of road-deposited sediment and its contribution to heavy metal pollution in urban runoff in Beijing, China[J]. Journal of Hazardous Materials, 2010, 183(1/2/3):203-210.

SIMULATION OF INFILTRATION AND HEAVY METAL POLLUTANTS MIGRATION FOR PERMEABLE BRICK PAVEMENT SYSTEM FOR SPONGE CITY CONSTRUCTION

SUN Zhao-dong1,2, SONG Hong-qing1*, XING Yi3, LI Jie2, LU Yu-chen2, WANG Jiu-long1

(1. School of Civil and Resource Engineering, University of Science and Technology Beijing, Beijing 100083, China; 2. Shenzhen Intelligent Water Affairs Co., Ltd, Shenzhen 518000, China;3. School of Energy and Environmental Engineering, University of Science and Technology Beijing, Beijing 100083, China)

Abstract: The infiltration characteristics in permeable brick pavement system (PBPS) of sponge city construction is its key factors, which influence the runoff producing time and the removal of heavy metals from runoff. Through the seepage test, the soil-water characteristic curves of PBPS soil layers were constructed, and then the infiltration model and the mathematical model for runoff heavy metal pollutant migration of PBPS was established. Finally, the effect of leveling layer soil particle size and base to cushion layer thickness ratio on the runoff producing time and the removal of heavy metals from runoff were illustrated. The results showed that with comprehensive consideration of the PBPS’s ability in delaying runoff generation time and removal of heavy metal pollutants, medium sand was the best choice for leveling layer soil; according to the concentration of heavy metal pollutants in the effluent of the structure layer, when the ratio of base to cushion layer thickness ratio was 15∶4, PBPS had the highest adsorption efficiency and good effect on removing heavy metal pollutants in runoff.

Key words: permeable brick pavement system; numerical model; runoff; heavy metal; sponge city

DOI:10.13205/j.hjgc.202004009

收稿日期:2020-01-22

基金项目:北京市科技新星计划(Z171100001117081)。

第一作者:孙召东(1994-),男,硕士,主要研究方向为海绵城市建设中雨水入渗机理及雨洪管理。szd1317@163.com

*通信作者:宋洪庆(1982-),男,博士,教授,主要研究方向为渗流力学在环境与资源领域的应用。songhongqing@ustb.edu.cn